PLATE: 5499 MJD: 55874 FIELD: 165+04

FrameCartsec zseeingNreadsDitherPixshiftZerosky continuumS/NS/N(c)
3120062 4 1.15 1.12 47 0.00 0.00 18.94 [15.28,14.64,14.74] [ 15.1, 24.6, 26.7] [ 13.1, 23.3, 25.3]
3120063 4 1.13 1.21 47 0.42 -0.00 18.95 [15.43,14.68,14.92] [ 15.4, 25.3, 27.7] [ 13.8, 23.9, 26.1]
3120064 4 1.12 1.31 47 0.41 0.00 19.02 [14.98,14.85,15.19] [ 15.6, 26.1, 28.5] [ 13.8, 24.6, 26.9]
3120065 4 1.10 1.34 47 -0.01 0.00 19.03 [15.07,15.08,15.17] [ 16.0, 26.3, 28.8] [ 13.9, 24.7, 27.3]
3120066 4 1.09 1.06 47 -0.01 -0.00 19.02 [15.00,15.09,15.31] [ 15.5, 26.3, 28.5] [ 13.7, 24.9, 27.0]
3120067 4 1.08 1.26 47 0.43 -0.00 18.92 [14.75,14.71,15.09] [ 14.6, 24.8, 27.0] [ 12.9, 23.2, 25.6]
3120068 4 1.07 1.37 47 0.42 0.00 18.93 [15.30,14.99,15.14] [ 15.0, 25.2, 27.3] [ 13.2, 23.7, 26.0]
3120069 4 1.06 1.29 47 -0.01 -0.00 18.96 [15.04,14.93,15.16] [ 15.3, 25.8, 27.8] [ 13.7, 24.3, 26.4]

IPAIRNAMESHIFTNEWSHIFTS/N NAMESHIFTNEWSHIFTS/N
0 03120067 0.425 0.000 258.51 03120062 0.000 0.425 260.91
1 03120064 0.415 0.011 269.98 03120065 -0.006 0.432 271.77
2 03120063 0.419 0.007 263.49 03120066 -0.010 0.436 270.11
3 03120068 0.417 0.008 260.53 03120069 -0.007 0.433 264.72

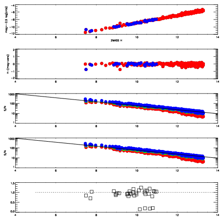
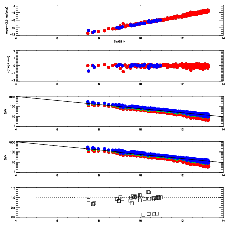
Visit (multiple exposure and dither combined) spectra

FrameZeropointsMag plots Spatial mag deviation Spatial sky 16325A emission deviations (filled: sky, open: star) Spatial sky continuum emission Spatial sky telluric CO2 absorption deviations (filled: H < 10)
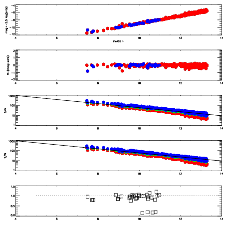
3120062
RedGreenBlue
z18.94
znorm14.76
sky 15.3 14.6 14.7
S/N 15.1 24.6 26.7
S/N(c) 13.1 23.3 25.3
SN(E/C) 0.95
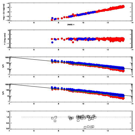
3120063
RedGreenBlue
z18.95
znorm14.77
sky 15.4 14.7 14.9
S/N 15.4 25.3 27.7
S/N(c) 13.8 23.9 26.1
SN(E/C) 0.94
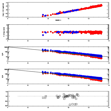
3120064
RedGreenBlue
z19.02
znorm14.84
sky 15.0 14.8 15.2
S/N 15.6 26.1 28.5
S/N(c) 13.8 24.6 26.9
SN(E/C) 0.97
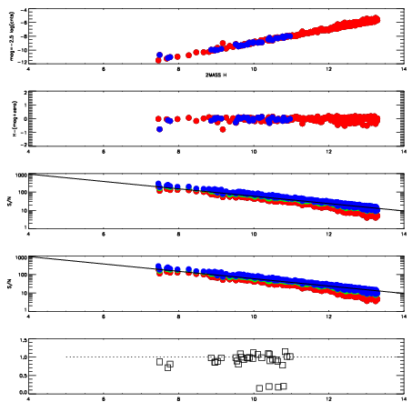
3120065
RedGreenBlue
z19.03
znorm14.85
sky 15.1 15.1 15.2
S/N 16.0 26.3 28.8
S/N(c) 13.9 24.7 27.3
SN(E/C) 0.96
3120066
RedGreenBlue
z19.02
znorm14.84
sky 15.0 15.1 15.3
S/N 15.5 26.3 28.5
S/N(c) 13.7 24.9 27.0
SN(E/C) 0.95
3120067
RedGreenBlue
z18.92
znorm14.74
sky 14.7 14.7 15.1
S/N 14.6 24.8 27.0
S/N(c) 12.9 23.2 25.6
SN(E/C) 0.97
3120068
RedGreenBlue
z18.93
znorm14.75
sky 15.3 15.0 15.1
S/N 15.0 25.2 27.3
S/N(c) 13.2 23.7 26.0
SN(E/C) 0.94
3120069
RedGreenBlue
z18.96
znorm14.78
sky 15.0 14.9 15.2
S/N 15.3 25.8 27.8
S/N(c) 13.7 24.3 26.4
SN(E/C) 0.94