PLATE: 5499 MJD: 55906 FIELD: 165+04

FrameCartsec zseeingNreadsDitherPixshiftZerosky continuumS/NS/N(c)
3440046 7 1.04 1.11 47 0.00 -0.00 19.10 [14.66,14.68,14.40] [ 17.1, 25.7, 28.0] [ 15.0, 23.9, 26.7]
3440047 7 1.04 1.37 47 0.39 -0.00 19.07 [14.70,14.56,14.68] [ 16.3, 25.0, 28.0] [ 14.5, 23.5, 26.2]
3440048 7 1.05 1.20 47 0.39 -0.00 19.02 [14.75,14.52,14.62] [ 15.5, 24.1, 27.1] [ 13.6, 22.7, 25.6]
3440049 7 1.06 1.26 47 -0.01 -0.00 19.04 [14.63,14.52,14.63] [ 15.4, 24.3, 27.3] [ 13.7, 23.0, 25.8]
3440050 7 1.07 1.26 47 -0.01 0.00 19.07 [14.64,14.48,14.59] [ 15.7, 24.8, 28.1] [ 13.8, 23.1, 26.5]
3440051 7 1.08 1.32 47 0.39 0.00 19.01 [14.92,14.64,14.72] [ 15.1, 24.2, 27.0] [ 13.2, 22.5, 25.5]
3440052 7 1.09 1.64 47 0.40 -0.00 18.96 [14.81,14.69,14.75] [ 14.5, 23.7, 26.2] [ 12.6, 21.8, 24.5]
3440053 7 1.10 1.25 47 -0.01 -0.00 19.01 [14.92,14.66,14.66] [ 14.9, 24.1, 27.0] [ 12.9, 22.2, 25.3]

IPAIRNAMESHIFTNEWSHIFTS/N NAMESHIFTNEWSHIFTS/N
0 03440052 0.397 0.000 226.95 03440053 -0.011 0.409 231.21
1 03440047 0.385 0.012 244.52 03440046 0.000 0.397 251.48
2 03440048 0.393 0.004 235.57 03440050 -0.009 0.406 241.56
3 03440051 0.395 0.003 234.74 03440049 -0.011 0.408 238.72

Visit (multiple exposure and dither combined) spectra

FrameZeropointsMag plots Spatial mag deviation Spatial sky 16325A emission deviations (filled: sky, open: star) Spatial sky continuum emission Spatial sky telluric CO2 absorption deviations (filled: H < 10)
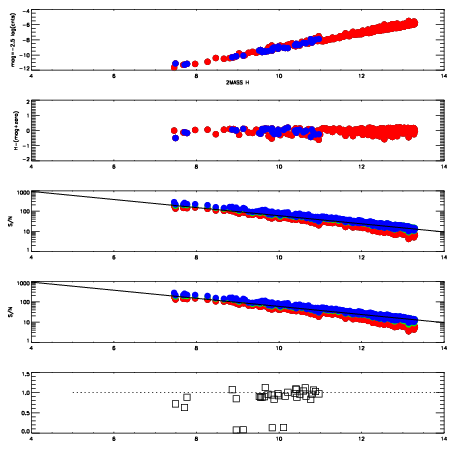
3440046
RedGreenBlue
z19.10
znorm14.92
sky 14.7 14.7 14.4
S/N 17.1 25.7 28.0
S/N(c) 15.0 23.9 26.7
SN(E/C) 0.92
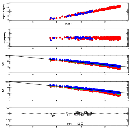
3440047
RedGreenBlue
z19.07
znorm14.89
sky 14.7 14.6 14.7
S/N 16.3 25.0 28.0
S/N(c) 14.5 23.5 26.2
SN(E/C) 0.94
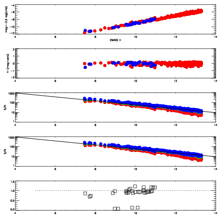
3440048
RedGreenBlue
z19.02
znorm14.84
sky 14.7 14.5 14.6
S/N 15.5 24.1 27.1
S/N(c) 13.6 22.7 25.6
SN(E/C) 0.96
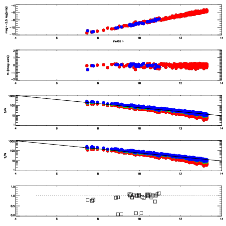
3440049
RedGreenBlue
z19.04
znorm14.86
sky 14.6 14.5 14.6
S/N 15.4 24.3 27.3
S/N(c) 13.7 23.0 25.8
SN(E/C) 0.98
3440050
RedGreenBlue
z19.07
znorm14.89
sky 14.6 14.5 14.6
S/N 15.7 24.8 28.1
S/N(c) 13.8 23.1 26.5
SN(E/C) 0.91
3440051
RedGreenBlue
z19.01
znorm14.83
sky 14.9 14.6 14.7
S/N 15.1 24.2 27.0
S/N(c) 13.2 22.5 25.5
SN(E/C) 0.97
3440052
RedGreenBlue
z18.96
znorm14.78
sky 14.8 14.7 14.7
S/N 14.5 23.7 26.2
S/N(c) 12.6 21.8 24.5
SN(E/C) 0.98
3440053
RedGreenBlue
z19.01
znorm14.83
sky 14.9 14.7 14.7
S/N 14.9 24.1 27.0
S/N(c) 12.9 22.2 25.3
SN(E/C) 0.97