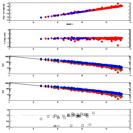
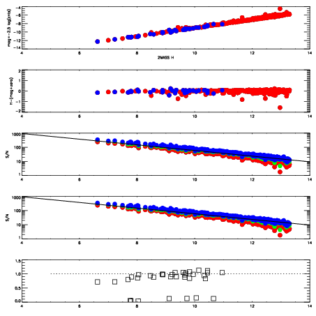
| Frame | Nreads | Zeropoints | Mag plots
| Spatial mag deviation
| Spatial sky 16325A emission deviations (filled: sky, open: star)
| Spatial sky continuum emission
| Spatial sky telluric CO2 absorption deviations (filled: H < 10)
|
| 3200047
| 47
| | Red | Green | Blue
| | z | | 19.03
| | znorm | | 14.85
| | sky | 15.1 | 14.7 | 14.7
| | S/N | 15.3 | 24.8 | 27.6
| | S/N(c) | 14.1 | 23.5 | 25.7
| | SN(E/C) | 0.90
|
|
|
|
|
|
|
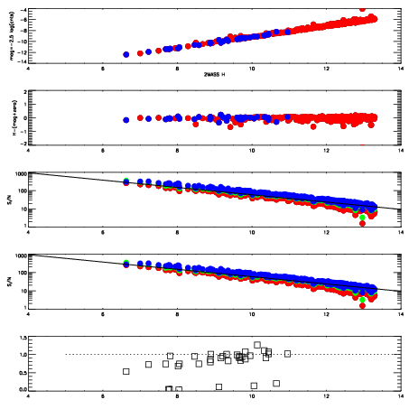
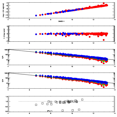
| 3200048
| 47
| | Red | Green | Blue
| | z | | 19.06
| | znorm | | 14.88
| | sky | 15.2 | 14.9 | 15.3
| | S/N | 15.6 | 25.0 | 28.4
| | S/N(c) | 14.2 | 23.7 | 26.2
| | SN(E/C) | 0.93
|
|
|
|
|
|
|
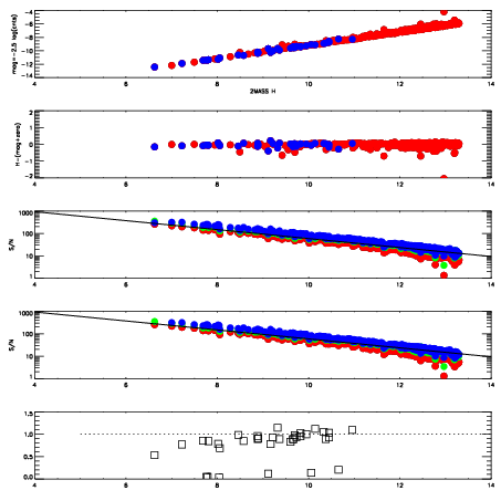
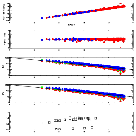
| 3200049
| 47
| | Red | Green | Blue
| | z | | 19.10
| | znorm | | 14.92
| | sky | 15.7 | 14.9 | 15.3
| | S/N | 16.1 | 25.5 | 29.1
| | S/N(c) | 14.7 | 24.0 | 26.9
| | SN(E/C) | 0.94
|
|
|
|
|
|
|
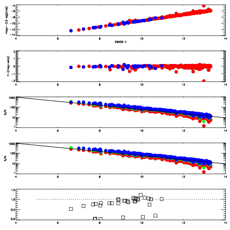
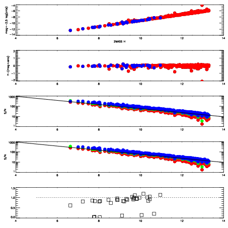
| 3200050
| 47
| | Red | Green | Blue
| | z | | 19.17
| | znorm | | 14.99
| | sky | 15.0 | 14.8 | 15.2
| | S/N | 16.5 | 26.2 | 29.8
| | S/N(c) | 15.3 | 24.6 | 27.7
| | SN(E/C) | 0.89
|
|
|
|
|
|
|
| 3200051
| 47
| | Red | Green | Blue
| | z | | 19.18
| | znorm | | 15.00
| | sky | 15.2 | 14.9 | 15.2
| | S/N | 16.8 | 26.7 | 30.0
| | S/N(c) | 15.4 | 25.0 | 27.9
| | SN(E/C) | 0.89
|
|
|
|
|
|
|
| 3200052
| 47
| | Red | Green | Blue
| | z | | 19.19
| | znorm | | 15.01
| | sky | 15.2 | 15.0 | 15.2
| | S/N | 16.7 | 26.8 | 30.1
| | S/N(c) | 15.3 | 25.2 | 27.8
| | SN(E/C) | 0.89
|
|
|
|
|
|
|
| 3200053
| 47
| | Red | Green | Blue
| | z | | 19.18
| | znorm | | 15.00
| | sky | 14.7 | 15.0 | 15.2
| | S/N | 16.4 | 26.4 | 30.0
| | S/N(c) | 15.1 | 24.7 | 27.8
| | SN(E/C) | 0.85
|
|
|
|
|
|
|
| 3200054
| 47
| | Red | Green | Blue
| | z | | 19.18
| | znorm | | 15.00
| | sky | 15.1 | 14.9 | 15.1
| | S/N | 16.6 | 26.7 | 30.0
| | S/N(c) | 15.3 | 25.1 | 27.9
| | SN(E/C) | 0.90
|
|
|
|
|
|
|