PLATE: 5501 MJD: 55929 FIELD: 180+00

FrameCartsec zseeingNreadsDitherPixshiftZerosky continuumS/NS/N(c)
3670037 4 1.13 1.12 47 0.00 0.00 19.20 [15.16,14.48,14.80] [ 16.6, 26.8, 28.3] [ 14.9, 25.5, 26.7]
3670038 4 1.12 1.05 47 0.47 -0.00 19.21 [14.91,14.50,14.75] [ 16.8, 27.2, 28.5] [ 15.0, 25.8, 26.7]
3670039 4 1.10 1.11 47 0.46 -0.00 19.22 [14.86,14.62,14.82] [ 16.7, 27.2, 28.6] [ 15.1, 25.8, 26.7]
3670040 4 1.09 1.00 47 0.03 0.00 19.23 [14.91,14.58,14.95] [ 16.7, 27.5, 28.6] [ 15.2, 26.0, 26.7]
3670041 4 1.07 0.99 47 0.03 0.00 19.25 [14.81,14.84,15.03] [ 17.0, 27.9, 29.2] [ 15.4, 26.2, 27.3]
3670042 4 1.06 1.06 47 0.45 -0.00 19.23 [15.20,14.88,15.11] [ 16.9, 27.5, 29.1] [ 15.5, 26.0, 27.1]
3670043 4 1.05 1.06 47 0.46 0.00 19.24 [15.16,14.74,14.92] [ 16.9, 27.9, 29.0] [ 15.4, 26.2, 27.2]
3670044 4 1.04 1.00 47 0.03 -0.00 19.24 [15.04,14.95,15.03] [ 17.0, 27.6, 29.0] [ 15.5, 26.1, 27.1]

IPAIRNAMESHIFTNEWSHIFTS/N NAMESHIFTNEWSHIFTS/N
0 03670038 0.468 0.000 269.95 03670037 0.000 0.468 268.27
1 03670043 0.459 0.009 276.21 03670041 0.030 0.438 277.74
2 03670042 0.451 0.017 275.54 03670044 0.028 0.440 277.58
3 03670039 0.462 0.005 275.13 03670040 0.031 0.437 274.30

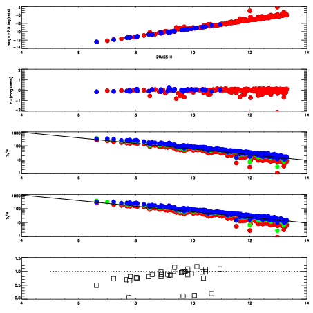
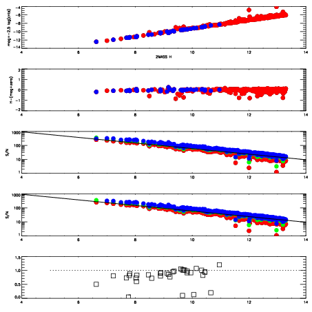
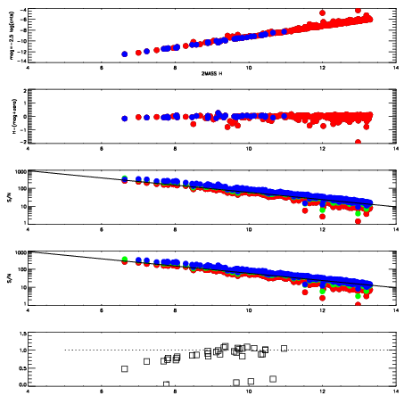
Visit (multiple exposure and dither combined) spectra

FrameZeropointsMag plots Spatial mag deviation Spatial sky 16325A emission deviations (filled: sky, open: star) Spatial sky continuum emission Spatial sky telluric CO2 absorption deviations (filled: H < 10)
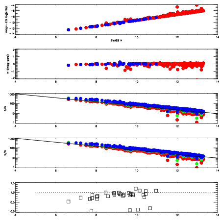
3670037
RedGreenBlue
z19.20
znorm15.02
sky 15.2 14.5 14.8
S/N 16.6 26.8 28.3
S/N(c) 14.9 25.5 26.7
SN(E/C) 0.86
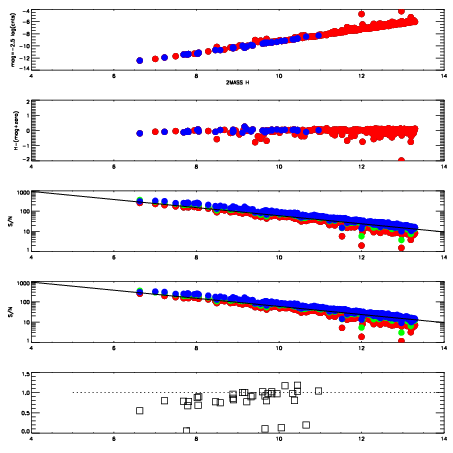
3670038
RedGreenBlue
z19.21
znorm15.03
sky 14.9 14.5 14.7
S/N 16.8 27.2 28.5
S/N(c) 15.0 25.8 26.7
SN(E/C) 0.87
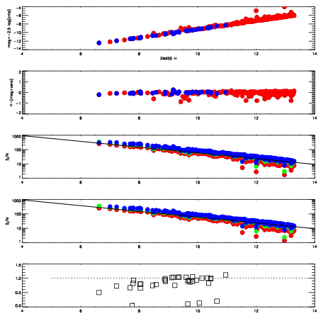
3670039
RedGreenBlue
z19.22
znorm15.04
sky 14.9 14.6 14.8
S/N 16.7 27.2 28.6
S/N(c) 15.1 25.8 26.7
SN(E/C) 0.90
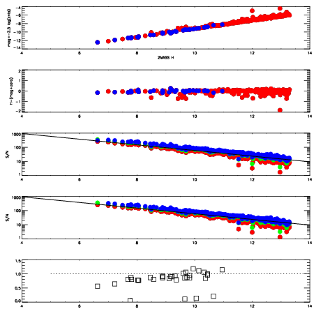
3670040
RedGreenBlue
z19.23
znorm15.05
sky 14.9 14.6 15.0
S/N 16.7 27.5 28.6
S/N(c) 15.2 26.0 26.7
SN(E/C) 0.88
3670041
RedGreenBlue
z19.25
znorm15.07
sky 14.8 14.8 15.0
S/N 17.0 27.9 29.2
S/N(c) 15.4 26.2 27.3
SN(E/C) 0.87
3670042
RedGreenBlue
z19.23
znorm15.05
sky 15.2 14.9 15.1
S/N 16.9 27.5 29.1
S/N(c) 15.5 26.0 27.1
SN(E/C) 0.88
3670043
RedGreenBlue
z19.24
znorm15.06
sky 15.2 14.7 14.9
S/N 16.9 27.9 29.0
S/N(c) 15.4 26.2 27.2
SN(E/C) 0.89
3670044
RedGreenBlue
z19.24
znorm15.06
sky 15.0 15.0 15.0
S/N 17.0 27.6 29.0
S/N(c) 15.5 26.1 27.1
SN(E/C) 0.88