PLATE: 5502 MJD: 55930 FIELD: 180+00

FrameCartsec zseeingNreadsDitherPixshiftZerosky continuumS/NS/N(c)
3680034 4 1.16 1.56 47 0.00 -0.00 18.87 [14.54,14.17,14.25] [ 13.8, 22.8, 26.3] [ 12.2, 21.4, 24.7]
3680035 4 1.14 1.32 47 0.47 -0.00 18.99 [14.63,14.29,14.25] [ 14.5, 24.0, 27.1] [ 12.9, 22.3, 25.6]
3680036 4 1.12 1.60 47 0.47 0.00 18.44 [14.02,13.91,13.99] [ 9.6, 17.0, 19.6] [ 8.4, 15.7, 18.2]
3680037 4 1.10 1.49 47 0.00 -0.00 18.14 [14.02,13.89,14.08] [ 7.9, 14.4, 16.4] [ 6.8, 13.4, 15.2]
3680038 4 1.09 1.29 47 0.01 -0.00 18.81 [14.56,14.42,14.49] [ 12.9, 22.2, 24.3] [ 11.5, 20.7, 22.9]
3680039 4 1.07 1.65 47 0.47 0.00 18.93 [14.88,14.72,14.68] [ 14.0, 23.7, 26.1] [ 12.5, 22.3, 24.6]
3680040 4 1.06 1.63 47 0.47 -0.00 18.99 [15.10,14.65,14.67] [ 14.3, 24.5, 27.4] [ 12.8, 23.1, 25.8]
3680041 4 1.05 1.70 47 0.01 0.00 18.97 [14.75,14.77,14.57] [ 13.9, 24.0, 26.5] [ 12.5, 22.5, 25.0]

IPAIRNAMESHIFTNEWSHIFTS/N NAMESHIFTNEWSHIFTS/N
0 03680036 0.473 0.000 189.64 03680037 0.005 0.469 164.01
1 03680035 0.471 0.003 247.53 03680041 0.013 0.460 246.16
2 03680040 0.467 0.006 245.40 03680034 0.000 0.473 229.26
3 03680039 0.468 0.005 239.68 03680038 0.007 0.467 225.17

Visit (multiple exposure and dither combined) spectra

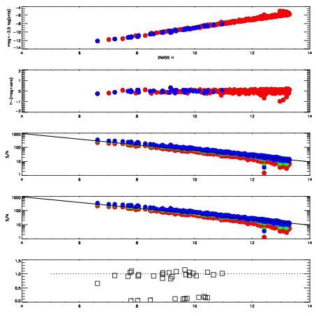
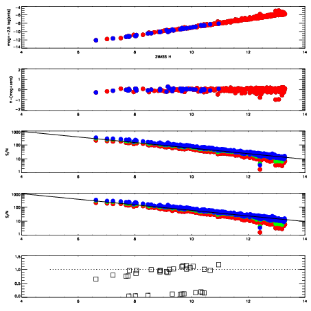
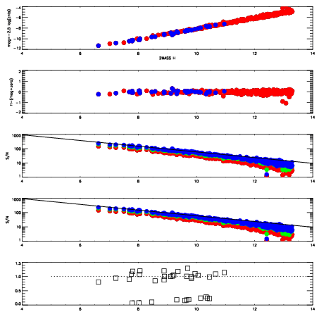
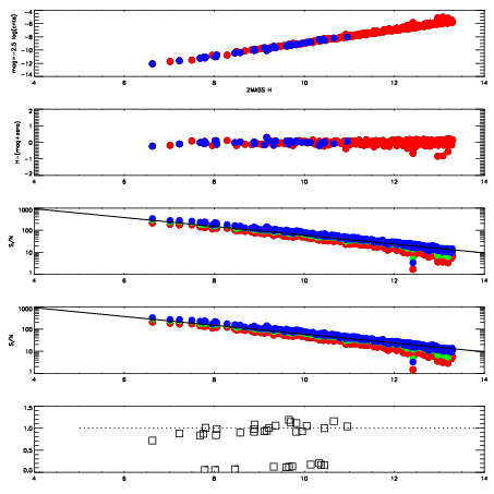
FrameZeropointsMag plots Spatial mag deviation Spatial sky 16325A emission deviations (filled: sky, open: star) Spatial sky continuum emission Spatial sky telluric CO2 absorption deviations (filled: H < 10)
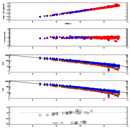
3680034
RedGreenBlue
z18.87
znorm14.69
sky 14.5 14.2 14.3
S/N 13.8 22.8 26.3
S/N(c) 12.2 21.4 24.7
SN(E/C) 0.92
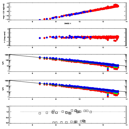
3680035
RedGreenBlue
z18.99
znorm14.81
sky 14.6 14.3 14.3
S/N 14.5 24.0 27.1
S/N(c) 12.9 22.3 25.6
SN(E/C) 0.92
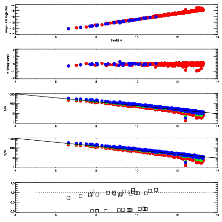
3680036
RedGreenBlue
z18.44
znorm14.26
sky 14.0 13.9 14.0
S/N 9.6 17.0 19.6
S/N(c) 8.4 15.7 18.2
SN(E/C) 0.95
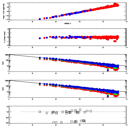
3680037
RedGreenBlue
z18.14
znorm13.96
sky 14.0 13.9 14.1
S/N 7.9 14.4 16.4
S/N(c) 6.8 13.4 15.2
SN(E/C) 0.98
3680038
RedGreenBlue
z18.81
znorm14.63
sky 14.6 14.4 14.5
S/N 12.9 22.2 24.3
S/N(c) 11.5 20.7 22.9
SN(E/C) 0.92
3680039
RedGreenBlue
z18.93
znorm14.75
sky 14.9 14.7 14.7
S/N 14.0 23.7 26.1
S/N(c) 12.5 22.3 24.6
SN(E/C) 0.91
3680040
RedGreenBlue
z18.99
znorm14.81
sky 15.1 14.6 14.7
S/N 14.3 24.5 27.4
S/N(c) 12.8 23.1 25.8
SN(E/C) 0.92
3680041
RedGreenBlue
z18.97
znorm14.79
sky 14.8 14.8 14.6
S/N 13.9 24.0 26.5
S/N(c) 12.5 22.5 25.0
SN(E/C) 0.89