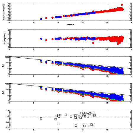
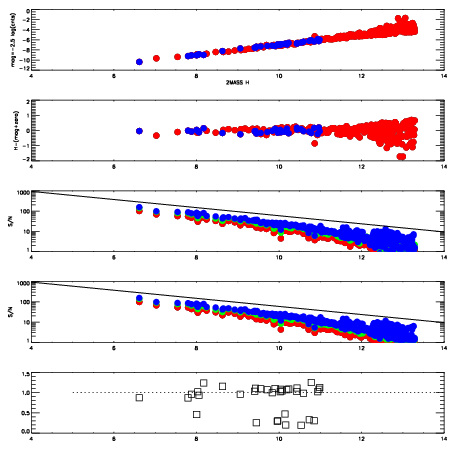
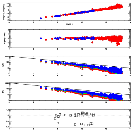
| Frame | Nreads | Zeropoints | Mag plots
| Spatial mag deviation
| Spatial sky 16325A emission deviations (filled: sky, open: star)
| Spatial sky continuum emission
| Spatial sky telluric CO2 absorption deviations (filled: H < 10)
|
| 3140062
| 47
| | Red | Green | Blue
| | z | | 17.36
| | znorm | | 13.18
| | sky | 12.2 | 12.1 | 12.2
| | S/N | 4.3 | 6.8 | 7.4
| | S/N(c) | 3.7 | 6.4 | 7.0
| | SN(E/C) | 0.97
|
|
|
|
|
|
|
| 3140063
| 47
| | Red | Green | Blue
| | z | | 17.28
| | znorm | | 13.10
| | sky | 12.1 | 12.0 | 12.1
| | S/N | 3.8 | 6.5 | 6.7
| | S/N(c) | 3.2 | 5.7 | 6.3
| | SN(E/C) | 1.02
|
|
|
|
|
|
|
| 3140064
| 47
| | Red | Green | Blue
| | z | | 17.53
| | znorm | | 13.35
| | sky | 12.2 | 12.1 | 12.2
| | S/N | 4.8 | 7.8 | 8.3
| | S/N(c) | 4.2 | 7.0 | 7.8
| | SN(E/C) | 1.00
|
|
|
|
|
|
|
| 3140065
| 47
| | Red | Green | Blue
| | z | | 17.38
| | znorm | | 13.20
| | sky | 12.2 | 12.1 | 12.2
| | S/N | 4.1 | 6.8 | 7.5
| | S/N(c) | 3.5 | 6.1 | 6.9
| | SN(E/C) | 0.99
|
|
|
|
|
|
|
| 3140066
| 47
| | Red | Green | Blue
| | z | | 17.01
| | znorm | | 12.83
| | sky | 12.1 | 12.0 | 12.1
| | S/N | 3.1 | 5.0 | 5.2
| | S/N(c) | 2.7 | 4.4 | 5.0
| | SN(E/C) | 1.02
|
|
|
|
|
|
|
| 3140067
| 47
| | Red | Green | Blue
| | z | | 16.58
| | znorm | | 12.40
| | sky | 12.0 | 12.0 | 12.0
| | S/N | 2.0 | 3.3 | 3.6
| | S/N(c) | 1.6 | 2.9 | 3.4
| | SN(E/C) | 1.02
|
|
|
|
|
|
|
| 3140068
| 47
| | Red | Green | Blue
| | z | | 17.17
| | znorm | | 12.99
| | sky | 12.0 | 12.0 | 12.1
| | S/N | 3.1 | 5.4 | 6.0
| | S/N(c) | 2.8 | 4.7 | 5.5
| | SN(E/C) | 1.01
|
|
|
|
|
|
|
| 3140069
| 47
| | Red | Green | Blue
| | z | | 17.34
| | znorm | | 13.16
| | sky | 12.1 | 12.1 | 12.1
| | S/N | 3.5 | 6.6 | 6.9
| | S/N(c) | 3.2 | 5.6 | 6.5
| | SN(E/C) | 1.00
|
|
|
|
|
|
|