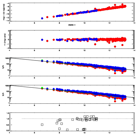
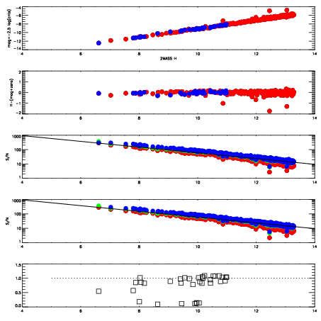
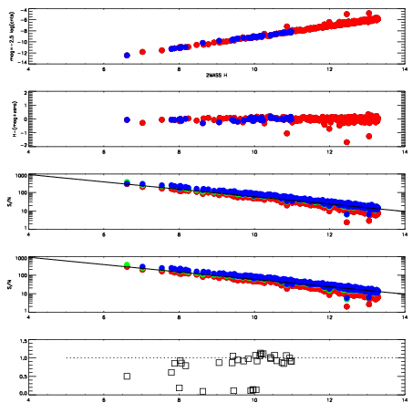
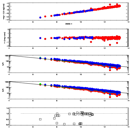
Left plots: red are targets, blue are telluric. Observed mags are calculated from median value of green chip. Zeropoint gives overall throughput: bigger number is more throughput.
First spatial plots: circles are objects, squares are tellurics, crosses are sky fibers. Colors give deviation of observed mag from expected 2MASS mag using the median zeropoint; red is brighter
Second spatial plots: circles are sky fibers. Colors give sky line brightness relative to plate median sky line brightness
FrameNreadsZeropointsMag plots Spatial mag deviation Spatial sky 16325A emission deviations (filled: sky, open: star) Spatial sky continuum emission Spatial sky telluric CO2 absorption deviations (filled: H < 10)
6270018 47
RedGreenBlue
z19.12
znorm14.94
sky 14.6 14.7 14.6
S/N 18.1 29.8 30.8
S/N(c) 16.6 27.8 29.2
SN(E/C) 0.92
6270019 47
RedGreenBlue
z19.11
znorm14.93
sky 15.0 15.0 15.2
S/N 17.9 29.2 30.9
S/N(c) 16.3 27.4 29.1
SN(E/C) 0.92
6270020 47
RedGreenBlue
z19.12
znorm14.94
sky 14.9 15.1 15.2
S/N 18.0 29.4 30.8
S/N(c) 16.4 27.8 29.2
SN(E/C) 0.92
6270021 47
RedGreenBlue
z19.14
znorm14.96
sky 15.0 15.2 15.2
S/N 17.9 29.4 30.9
S/N(c) 16.4 27.7 29.2
SN(E/C) 0.89