PLATE: 5506 MJD: 55904 FIELD: 180-04

FrameCartsec zseeingNreadsDitherPixshiftZerosky continuumS/NS/N(c)
3420047 5 1.01 1.06 47 0.00 -0.00 18.68 [12.57,12.47,12.47] [ 10.5, 16.2, 18.3] [ 9.0, 15.2, 17.3]
3420048 5 1.01 1.16 47 0.50 0.00 18.63 [12.50,12.38,12.41] [ 10.0, 15.6, 17.7] [ 8.8, 14.2, 16.8]
3420049 5 1.01 1.12 47 0.49 0.00 18.96 [13.17,13.10,13.15] [ 13.8, 21.4, 24.3] [ 12.0, 20.3, 22.8]
3420050 5 1.01 1.13 47 0.03 0.00 18.98 [13.19,13.12,13.19] [ 13.6, 21.4, 24.6] [ 12.1, 20.7, 23.0]
3420051 5 1.01 1.22 47 0.03 0.00 18.89 [12.95,12.89,12.91] [ 12.3, 19.5, 22.5] [ 10.8, 18.7, 21.1]
3420052 5 1.01 1.30 47 0.49 -0.00 18.91 [13.13,13.07,13.12] [ 12.6, 20.1, 23.5] [ 11.1, 19.1, 21.7]
3420053 5 1.01 1.18 47 0.49 -0.00 19.00 [13.36,13.24,13.30] [ 13.5, 21.8, 24.4] [ 11.6, 20.1, 22.3]
3420054 5 1.01 1.17 47 0.03 0.00 19.16 [13.97,13.92,14.00] [ 16.1, 25.8, 27.5] [ 13.9, 23.8, 25.4]

IPAIRNAMESHIFTNEWSHIFTS/N NAMESHIFTNEWSHIFTS/N
0 03420048 0.496 0.000 171.56 03420047 0.000 0.496 177.11
1 03420053 0.492 0.004 202.46 03420054 0.028 0.467 223.48
2 03420049 0.488 0.007 201.03 03420050 0.027 0.469 202.25
3 03420052 0.494 0.001 197.28 03420051 0.030 0.466 195.92

Visit (multiple exposure and dither combined) spectra

FrameZeropointsMag plots Spatial mag deviation Spatial sky 16325A emission deviations (filled: sky, open: star) Spatial sky continuum emission Spatial sky telluric CO2 absorption deviations (filled: H < 10)
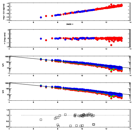
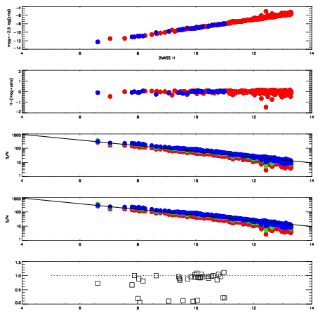
3420047
RedGreenBlue
z18.68
znorm14.50
sky 12.6 12.5 12.5
S/N 10.5 16.2 18.3
S/N(c) 9.0 15.2 17.3
SN(E/C) 0.95
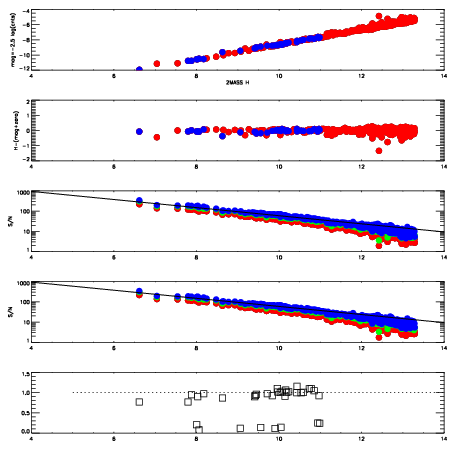
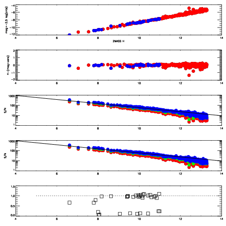
3420048
RedGreenBlue
z18.63
znorm14.45
sky 12.5 12.4 12.4
S/N 10.0 15.6 17.7
S/N(c) 8.8 14.2 16.8
SN(E/C) 0.95
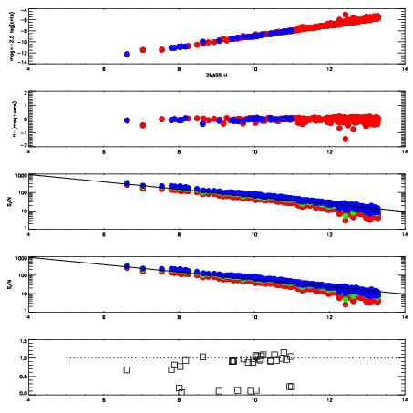
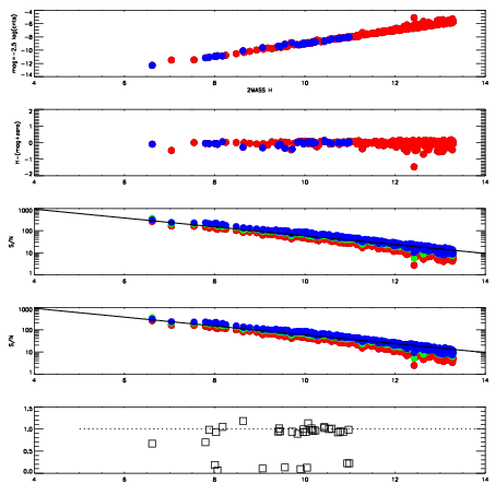
3420049
RedGreenBlue
z18.96
znorm14.78
sky 13.2 13.1 13.2
S/N 13.8 21.4 24.3
S/N(c) 12.0 20.3 22.8
SN(E/C) 0.92
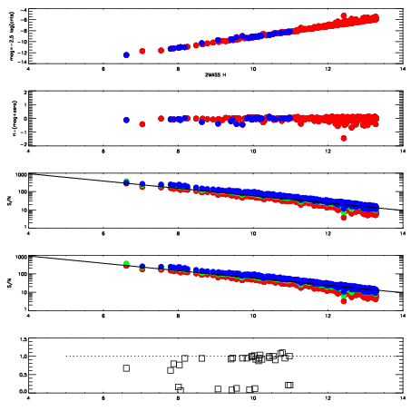
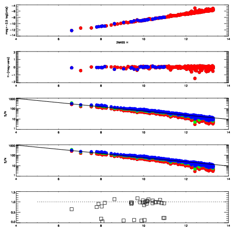
3420050
RedGreenBlue
z18.98
znorm14.80
sky 13.2 13.1 13.2
S/N 13.6 21.4 24.6
S/N(c) 12.1 20.7 23.0
SN(E/C) 0.92
3420051
RedGreenBlue
z18.89
znorm14.71
sky 12.9 12.9 12.9
S/N 12.3 19.5 22.5
S/N(c) 10.8 18.7 21.1
SN(E/C) 0.96
3420052
RedGreenBlue
z18.91
znorm14.73
sky 13.1 13.1 13.1
S/N 12.6 20.1 23.5
S/N(c) 11.1 19.1 21.7
SN(E/C) 0.95
3420053
RedGreenBlue
z19.00
znorm14.82
sky 13.4 13.2 13.3
S/N 13.5 21.8 24.4
S/N(c) 11.6 20.1 22.3
SN(E/C) 0.94
3420054
RedGreenBlue
z19.16
znorm14.98
sky 14.0 13.9 14.0
S/N 16.1 25.8 27.5
S/N(c) 13.9 23.8 25.4
SN(E/C) 0.92