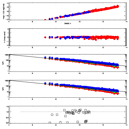
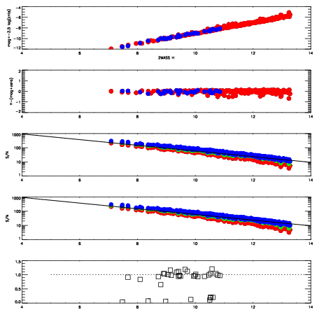
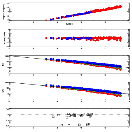
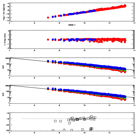
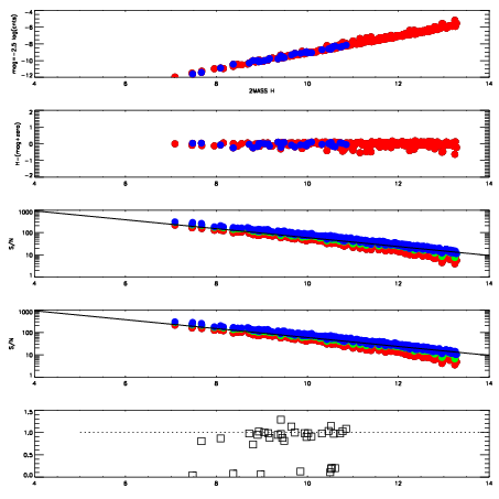
| Frame | Nreads | Zeropoints | Mag plots
| Spatial mag deviation
| Spatial sky 16325A emission deviations (filled: sky, open: star)
| Spatial sky continuum emission
| Spatial sky telluric CO2 absorption deviations (filled: H < 10)
|
| 2860086
| 47
| | Red | Green | Blue
| | z | | 19.12
| | znorm | | 14.94
| | sky | 15.3 | 14.6 | 14.7
| | S/N | 16.5 | 26.1 | 30.4
| | S/N(c) | 14.8 | 25.0 | 28.8
| | SN(E/C) | 0.92
|
|
|
|
|
|
|
| 2860087
| 47
| | Red | Green | Blue
| | z | | 19.13
| | znorm | | 14.95
| | sky | 14.8 | 14.6 | 14.8
| | S/N | 16.7 | 26.6 | 30.8
| | S/N(c) | 14.9 | 25.2 | 29.2
| | SN(E/C) | 0.93
|
|
|
|
|
|
|
| 2860088
| 47
| | Red | Green | Blue
| | z | | 19.12
| | znorm | | 14.94
| | sky | 14.7 | 14.7 | 14.9
| | S/N | 16.6 | 26.7 | 30.5
| | S/N(c) | 14.9 | 25.0 | 28.7
| | SN(E/C) | 0.94
|
|
|
|
|
|
|
| 2860089
| 47
| | Red | Green | Blue
| | z | | 19.11
| | znorm | | 14.93
| | sky | 14.6 | 14.7 | 14.8
| | S/N | 16.3 | 26.5 | 30.3
| | S/N(c) | 14.6 | 25.1 | 28.8
| | SN(E/C) | 0.90
|
|
|
|
|
|
|
| 2860090
| 47
| | Red | Green | Blue
| | z | | 19.08
| | znorm | | 14.90
| | sky | 14.7 | 14.8 | 14.9
| | S/N | 16.1 | 25.9 | 29.6
| | S/N(c) | 14.6 | 24.2 | 28.0
| | SN(E/C) | 0.94
|
|
|
|
|
|
|
| 2860091
| 47
| | Red | Green | Blue
| | z | | 19.06
| | znorm | | 14.88
| | sky | 14.8 | 14.8 | 14.9
| | S/N | 16.0 | 25.7 | 29.4
| | S/N(c) | 14.2 | 24.1 | 27.8
| | SN(E/C) | 0.92
|
|
|
|
|
|
|
| 2860092
| 47
| | Red | Green | Blue
| | z | | 19.05
| | znorm | | 14.87
| | sky | 14.5 | 14.8 | 14.9
| | S/N | 15.7 | 25.7 | 29.0
| | S/N(c) | 14.1 | 24.0 | 27.5
| | SN(E/C) | 0.94
|
|
|
|
|
|
|
| 2860093
| 47
| | Red | Green | Blue
| | z | | 19.02
| | znorm | | 14.84
| | sky | 14.7 | 14.9 | 14.9
| | S/N | 15.3 | 25.1 | 28.3
| | S/N(c) | 13.8 | 23.5 | 26.7
| | SN(E/C) | 0.96
|
|
|
|
|
|
|