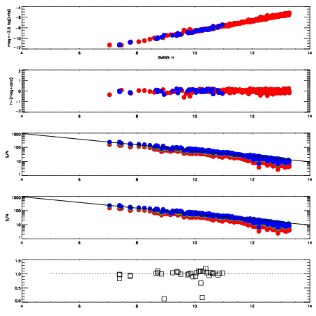
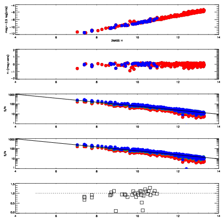
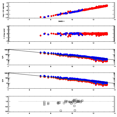
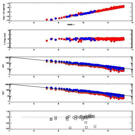
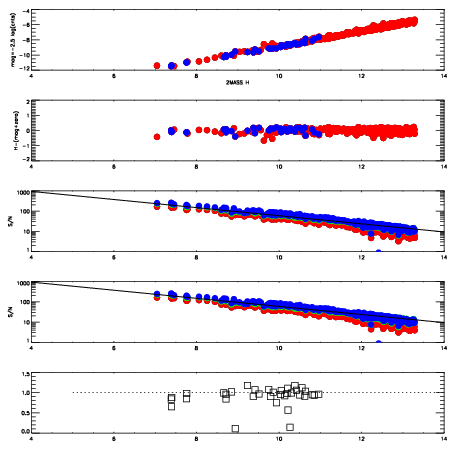
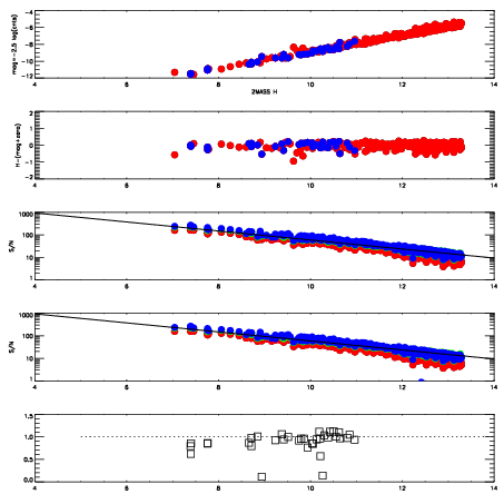
| Frame | Nreads | Zeropoints | Mag plots
| Spatial mag deviation
| Spatial sky 16325A emission deviations (filled: sky, open: star)
| Spatial sky continuum emission
| Spatial sky telluric CO2 absorption deviations (filled: H < 10)
|
| 3130010
| 47
| | Red | Green | Blue
| | z | | 18.92
| | znorm | | 14.74
| | sky | 14.8 | 14.5 | 14.5
| | S/N | 15.7 | 25.7 | 26.9
| | S/N(c) | 13.9 | 24.4 | 25.3
| | SN(E/C) | 0.94
|
|
|
|
|
|
|
| 3130011
| 47
| | Red | Green | Blue
| | z | | 18.93
| | znorm | | 14.75
| | sky | 15.0 | 14.7 | 14.9
| | S/N | 15.3 | 25.2 | 26.7
| | S/N(c) | 13.8 | 23.8 | 25.1
| | SN(E/C) | 0.98
|
|
|
|
|
|
|
| 3130012
| 47
| | Red | Green | Blue
| | z | | 18.92
| | znorm | | 14.74
| | sky | 14.8 | 14.9 | 15.1
| | S/N | 15.2 | 25.4 | 26.7
| | S/N(c) | 13.4 | 23.5 | 25.3
| | SN(E/C) | 0.94
|
|
|
|
|
|
|
| 3130013
| 47
| | Red | Green | Blue
| | z | | 18.65
| | znorm | | 14.47
| | sky | 14.8 | 15.0 | 15.1
| | S/N | 12.6 | 21.7 | 22.7
| | S/N(c) | 11.1 | 20.3 | 21.3
| | SN(E/C) | 1.00
|
|
|
|
|
|
|
| 3130014
| 47
| | Red | Green | Blue
| | z | | 18.64
| | znorm | | 14.46
| | sky | 15.0 | 15.0 | 15.1
| | S/N | 12.3 | 21.4 | 22.3
| | S/N(c) | 10.9 | 19.9 | 20.9
| | SN(E/C) | 1.01
|
|
|
|
|
|
|
| 3130015
| 47
| | Red | Green | Blue
| | z | | 18.97
| | znorm | | 14.79
| | sky | 14.9 | 14.9 | 15.0
| | S/N | 15.1 | 25.5 | 27.0
| | S/N(c) | 13.7 | 23.8 | 25.5
| | SN(E/C) | 0.93
|
|
|
|
|
|
|
| 3130016
| 47
| | Red | Green | Blue
| | z | | 18.92
| | znorm | | 14.74
| | sky | 15.2 | 15.1 | 15.0
| | S/N | 14.7 | 24.5 | 26.2
| | S/N(c) | 13.0 | 23.0 | 24.7
| | SN(E/C) | 0.95
|
|
|
|
|
|
|
| 3130017
| 47
| | Red | Green | Blue
| | z | | 18.86
| | znorm | | 14.68
| | sky | 15.0 | 15.0 | 15.1
| | S/N | 14.1 | 24.1 | 25.4
| | S/N(c) | 12.4 | 22.7 | 23.8
| | SN(E/C) | 0.96
|
|
|
|
|
|
|
| 3130018
| 47
| | Red | Green | Blue
| | z | | 18.87
| | znorm | | 14.69
| | sky | 15.0 | 15.0 | 15.1
| | S/N | 14.0 | 24.1 | 25.5
| | S/N(c) | 12.6 | 22.6 | 24.1
| | SN(E/C) | 0.96
|
|
|
|
|
|
|
| 3130019
| 47
| | Red | Green | Blue
| | z | | 18.79
| | znorm | | 14.61
| | sky | 15.0 | 15.1 | 15.1
| | S/N | 13.3 | 23.0 | 24.2
| | S/N(c) | 11.9 | 21.4 | 22.6
| | SN(E/C) | 0.98
|
|
|
|
|
|
|
| 3130020
| 47
| | Red | Green | Blue
| | z | | 18.89
| | znorm | | 14.71
| | sky | 15.1 | 15.1 | 15.3
| | S/N | 14.4 | 24.3 | 25.6
| | S/N(c) | 12.7 | 22.3 | 24.1
| | SN(E/C) | 0.94
|
|
|
|
|
|
|
| 3130021
| 47
| | Red | Green | Blue
| | z | | 18.95
| | znorm | | 14.77
| | sky | 15.2 | 15.0 | 15.1
| | S/N | 15.3 | 25.5 | 27.0
| | S/N(c) | 13.2 | 23.5 | 25.4
| | SN(E/C) | 0.94
|
|
|
|
|
|
|