PLATE: 5510 MJD: 55876 FIELD: 195+04

FrameCartsec zseeingNreadsDitherPixshiftZerosky continuumS/NS/N(c)
3140073 7 1.12 1.55 47 0.00 -0.00 16.97 [12.69,12.63,12.76] [ 2.5, 4.7, 5.3] [ 2.2, 4.1, 4.6]
3140074 7 1.10 2.35 47 0.43 0.00 17.07 [12.76,12.73,12.92] [ 2.8, 5.2, 6.3] [ 2.6, 4.7, 5.5]
3140075 7 1.09 2.58 47 0.41 -0.00 17.62 [13.00,12.96,13.09] [ 4.9, 8.8, 9.9] [ 4.4, 7.8, 8.8]
3140076 7 1.08 1.43 47 -0.06 -0.00 18.33 [13.37,13.25,13.38] [ 9.2, 15.6, 16.9] [ 8.0, 14.2, 15.5]
3140077 7 1.07 1.30 47 -0.05 -0.00 18.36 [13.42,13.32,13.45] [ 9.3, 16.0, 17.3] [ 8.1, 14.5, 15.9]
3140078 7 1.06 1.14 47 0.40 -0.00 18.24 [13.25,13.22,13.32] [ 8.1, 14.4, 15.9] [ 7.2, 12.9, 14.4]
3140079 7 1.05 1.33 47 0.41 -0.00 17.87 [13.09,13.05,13.16] [ 6.1, 10.7, 11.8] [ 5.4, 9.6, 10.5]
3140080 7 1.05 1.79 47 -0.06 0.00 17.90 [13.10,13.02,13.15] [ 6.2, 11.0, 11.9] [ 5.4, 9.8, 10.6]

IPAIRNAMESHIFTNEWSHIFTS/N NAMESHIFTNEWSHIFTS/N
0 03140074 0.427 0.000 129.17 03140073 0.000 0.427 122.41
1 03140078 0.401 0.027 216.47 03140077 -0.053 0.481 231.13
2 03140079 0.415 0.013 182.07 03140076 -0.056 0.484 228.40
3 03140075 0.412 0.015 166.21 03140080 -0.057 0.484 184.07

Visit (multiple exposure and dither combined) spectra

FrameZeropointsMag plots Spatial mag deviation Spatial sky 16325A emission deviations (filled: sky, open: star) Spatial sky continuum emission Spatial sky telluric CO2 absorption deviations (filled: H < 10)
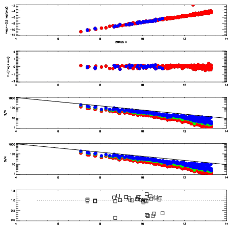
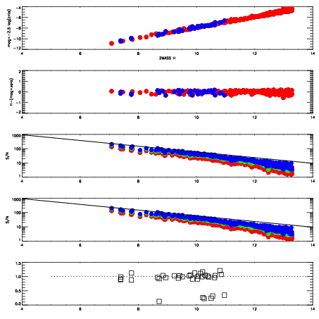
3140073
RedGreenBlue
z16.97
znorm12.79
sky 12.7 12.6 12.8
S/N 2.5 4.7 5.3
S/N(c) 2.2 4.1 4.6
SN(E/C) 1.00
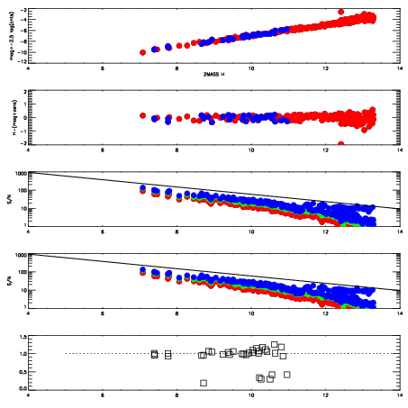
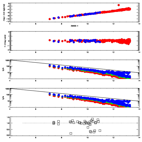
3140074
RedGreenBlue
z17.07
znorm12.89
sky 12.8 12.7 12.9
S/N 2.8 5.2 6.3
S/N(c) 2.6 4.7 5.5
SN(E/C) 1.02
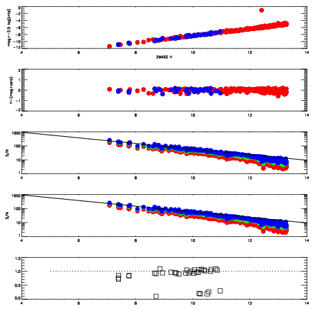
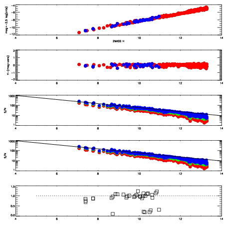
3140075
RedGreenBlue
z17.62
znorm13.44
sky 13.0 13.0 13.1
S/N 4.9 8.8 9.9
S/N(c) 4.4 7.8 8.8
SN(E/C) 1.02
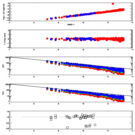
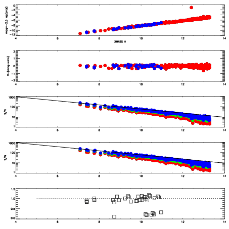
3140076
RedGreenBlue
z18.33
znorm14.15
sky 13.4 13.3 13.4
S/N 9.2 15.6 16.9
S/N(c) 8.0 14.2 15.5
SN(E/C) 0.97
3140077
RedGreenBlue
z18.36
znorm14.18
sky 13.4 13.3 13.4
S/N 9.3 16.0 17.3
S/N(c) 8.1 14.5 15.9
SN(E/C) 0.94
3140078
RedGreenBlue
z18.24
znorm14.06
sky 13.3 13.2 13.3
S/N 8.1 14.4 15.9
S/N(c) 7.2 12.9 14.4
SN(E/C) 0.92
3140079
RedGreenBlue
z17.87
znorm13.69
sky 13.1 13.1 13.2
S/N 6.1 10.7 11.8
S/N(c) 5.4 9.6 10.5
SN(E/C) 1.00
3140080
RedGreenBlue
z17.90
znorm13.72
sky 13.1 13.0 13.1
S/N 6.2 11.0 11.9
S/N(c) 5.4 9.8 10.6
SN(E/C) 0.98