PLATE: 5510 MJD: 55940 FIELD: 195+04

FrameCartsec zseeingNreadsDitherPixshiftZerosky continuumS/NS/N(c)
3780010 6 1.05 1.60 47 0.00 0.00 19.07 [14.91,14.71,14.47] [ 16.6, 26.7, 28.3] [ 14.8, 24.6, 26.5]
3780011 6 1.05 1.46 47 0.40 -0.00 19.02 [14.81,14.72,14.79] [ 15.9, 26.0, 28.0] [ 14.1, 24.0, 26.4]
3780012 6 1.04 1.35 47 0.40 -0.00 19.05 [14.73,14.82,14.74] [ 16.0, 26.3, 28.3] [ 14.3, 24.3, 26.8]
3780013 6 1.04 1.48 47 -0.01 -0.00 19.10 [14.77,14.85,14.83] [ 16.3, 26.8, 28.8] [ 14.6, 24.8, 27.4]
3780014 6 1.04 1.27 47 -0.02 0.00 19.05 [15.02,14.87,14.84] [ 16.1, 26.2, 28.1] [ 14.4, 24.3, 26.5]
3780015 6 1.04 1.45 47 0.39 0.00 19.16 [14.80,14.79,14.81] [ 17.0, 27.6, 29.5] [ 15.2, 25.7, 28.2]
3780016 6 1.04 1.49 47 0.39 -0.00 19.11 [14.88,14.86,14.77] [ 16.5, 27.1, 28.8] [ 14.5, 25.1, 27.3]
3780017 6 1.04 1.59 47 -0.01 -0.00 19.11 [14.97,14.85,14.87] [ 16.3, 27.0, 28.9] [ 14.4, 25.2, 27.4]

IPAIRNAMESHIFTNEWSHIFTS/N NAMESHIFTNEWSHIFTS/N
0 03780012 0.398 0.000 292.77 03780017 -0.012 0.410 296.13
1 03780015 0.392 0.006 305.89 03780013 -0.015 0.413 297.58
2 03780016 0.389 0.009 297.03 03780010 0.000 0.398 297.29
3 03780011 0.395 0.003 291.44 03780014 -0.019 0.417 292.56

Visit (multiple exposure and dither combined) spectra

FrameZeropointsMag plots Spatial mag deviation Spatial sky 16325A emission deviations (filled: sky, open: star) Spatial sky continuum emission Spatial sky telluric CO2 absorption deviations (filled: H < 10)
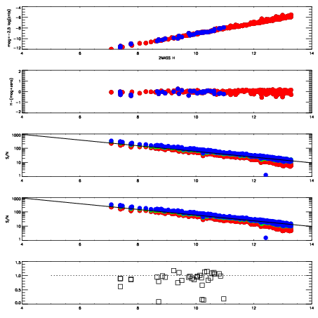
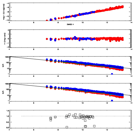
3780010
RedGreenBlue
z19.07
znorm14.89
sky 14.9 14.7 14.5
S/N 16.6 26.7 28.3
S/N(c) 14.8 24.6 26.5
SN(E/C) 0.92
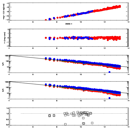
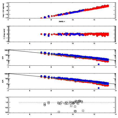
3780011
RedGreenBlue
z19.02
znorm14.84
sky 14.8 14.7 14.8
S/N 15.9 26.0 28.0
S/N(c) 14.1 24.0 26.4
SN(E/C) 0.90
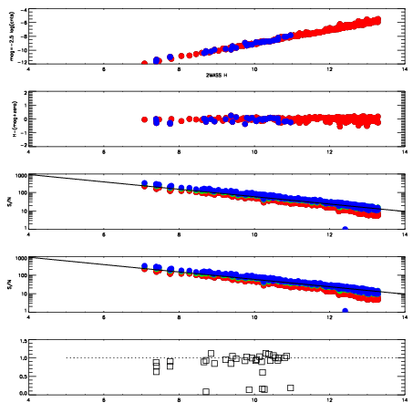
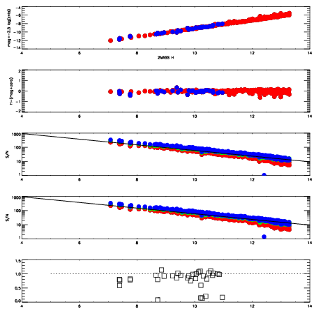
3780012
RedGreenBlue
z19.05
znorm14.87
sky 14.7 14.8 14.7
S/N 16.0 26.3 28.3
S/N(c) 14.3 24.3 26.8
SN(E/C) 0.93
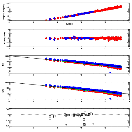
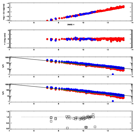
3780013
RedGreenBlue
z19.10
znorm14.91
sky 14.8 14.9 14.8
S/N 16.3 26.8 28.8
S/N(c) 14.6 24.8 27.4
SN(E/C) 0.92
3780014
RedGreenBlue
z19.05
znorm14.87
sky 15.0 14.9 14.8
S/N 16.1 26.2 28.1
S/N(c) 14.4 24.3 26.5
SN(E/C) 0.92
3780015
RedGreenBlue
z19.16
znorm14.98
sky 14.8 14.8 14.8
S/N 17.0 27.6 29.5
S/N(c) 15.2 25.7 28.2
SN(E/C) 0.92
3780016
RedGreenBlue
z19.11
znorm14.93
sky 14.9 14.9 14.8
S/N 16.5 27.1 28.8
S/N(c) 14.5 25.1 27.3
SN(E/C) 0.95
3780017
RedGreenBlue
z19.11
znorm14.93
sky 15.0 14.9 14.9
S/N 16.3 27.0 28.9
S/N(c) 14.4 25.2 27.4
SN(E/C) 0.91