PLATE: 5511 MJD: 55848 FIELD: 195-04

FrameCartsec zseeingNreadsDitherPixshiftZerosky continuumS/NS/N(c)
2860101 3 1.06 1.14 47 0.00 0.00 19.06 [15.11,14.71,14.57] [ 15.2, 25.3, 28.1] [ 13.5, 23.6, 26.7]
2860102 3 1.06 1.14 47 0.37 0.00 19.05 [14.83,14.91,15.02] [ 15.1, 25.6, 27.8] [ 13.3, 23.8, 26.6]
2860103 3 1.06 1.25 47 0.36 0.00 19.02 [15.02,14.94,15.03] [ 14.3, 24.6, 26.2] [ 12.4, 22.8, 24.5]
2860104 3 1.06 1.49 47 0.01 0.00 19.05 [14.85,14.79,15.09] [ 15.0, 25.5, 27.4] [ 13.0, 23.7, 25.5]
2860105 3 1.07 1.38 47 0.01 -0.00 19.02 [15.01,14.80,14.97] [ 14.9, 25.3, 27.0] [ 12.9, 23.4, 25.3]
2860106 3 1.07 1.29 47 0.36 -0.00 18.98 [15.00,14.76,14.82] [ 14.4, 24.9, 26.0] [ 12.5, 23.0, 24.6]
2860107 3 1.08 1.59 47 0.37 0.00 19.01 [14.55,14.38,14.29] [ 14.6, 24.6, 25.3] [ 12.6, 22.8, 24.0]
2860108 3 1.09 1.49 47 0.01 0.00 18.71 [12.54,12.32,12.06] [ 9.4, 15.4, 16.7] [ 8.6, 14.6, 16.0]

IPAIRNAMESHIFTNEWSHIFTS/N NAMESHIFTNEWSHIFTS/N
0 02860107 0.375 0.000 273.01 02860105 0.011 0.363 275.99
1 02860103 0.357 0.018 280.69 02860104 0.011 0.363 280.00
2 02860102 0.365 0.009 279.90 02860101 0.000 0.375 276.86
3 02860106 0.363 0.011 270.92 02860108 0.013 0.361 231.45

Visit (multiple exposure and dither combined) spectra

FrameZeropointsMag plots Spatial mag deviation Spatial sky 16325A emission deviations (filled: sky, open: star) Spatial sky continuum emission Spatial sky telluric CO2 absorption deviations (filled: H < 10)
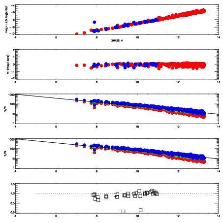
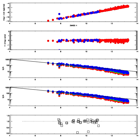
2860101
RedGreenBlue
z19.06
znorm14.88
sky 15.1 14.7 14.6
S/N 15.2 25.3 28.1
S/N(c) 13.5 23.6 26.7
SN(E/C) 0.92
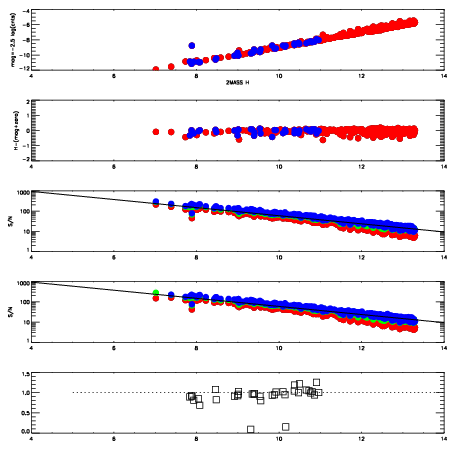
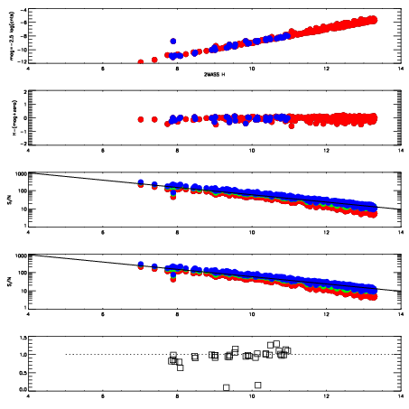
2860102
RedGreenBlue
z19.05
znorm14.87
sky 14.8 14.9 15.0
S/N 15.1 25.6 27.8
S/N(c) 13.3 23.8 26.6
SN(E/C) 0.90
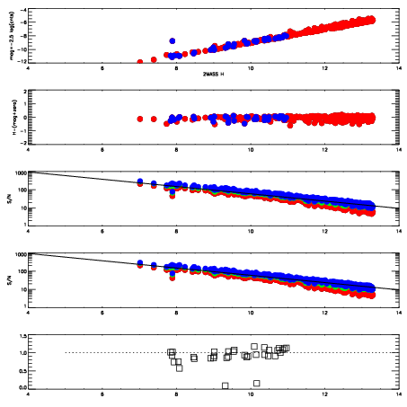
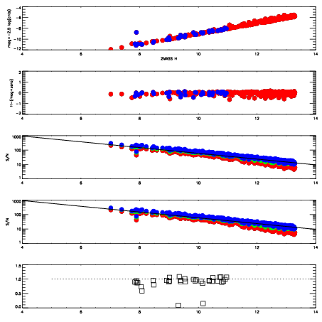
2860103
RedGreenBlue
z19.02
znorm14.84
sky 15.0 14.9 15.0
S/N 14.3 24.6 26.2
S/N(c) 12.4 22.8 24.5
SN(E/C) 0.96
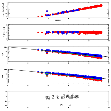
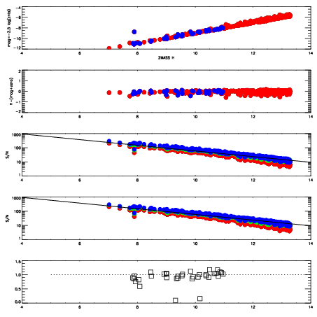
2860104
RedGreenBlue
z19.05
znorm14.87
sky 14.9 14.8 15.1
S/N 15.0 25.5 27.4
S/N(c) 13.0 23.7 25.5
SN(E/C) 0.93
2860105
RedGreenBlue
z19.02
znorm14.84
sky 15.0 14.8 15.0
S/N 14.9 25.3 27.0
S/N(c) 12.9 23.4 25.3
SN(E/C) 0.93
2860106
RedGreenBlue
z18.98
znorm14.80
sky 15.0 14.8 14.8
S/N 14.4 24.9 26.0
S/N(c) 12.5 23.0 24.6
SN(E/C) 0.98
2860107
RedGreenBlue
z19.01
znorm14.83
sky 14.6 14.4 14.3
S/N 14.6 24.6 25.3
S/N(c) 12.6 22.8 24.0
SN(E/C) 0.96
2860108
RedGreenBlue
z18.71
znorm14.53
sky 12.5 12.3 12.1
S/N 9.4 15.4 16.7
S/N(c) 8.6 14.6 16.0
SN(E/C) 0.98