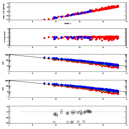
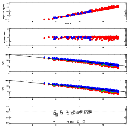
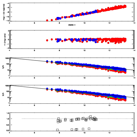
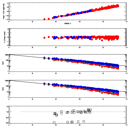
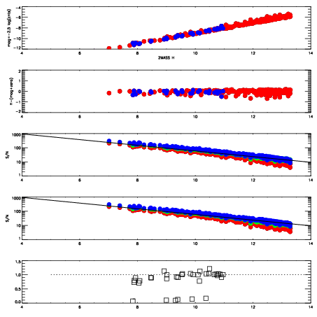
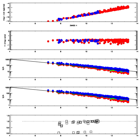
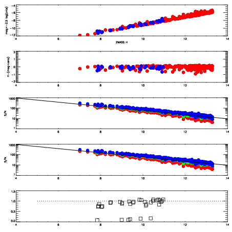
| Frame | Nreads | Zeropoints | Mag plots
| Spatial mag deviation
| Spatial sky 16325A emission deviations (filled: sky, open: star)
| Spatial sky continuum emission
| Spatial sky telluric CO2 absorption deviations (filled: H < 10)
|
| 3120073
| 47
| | Red | Green | Blue
| | z | | 19.10
| | znorm | | 14.92
| | sky | 16.1 | 14.9 | 14.9
| | S/N | 15.1 | 24.9 | 27.1
| | S/N(c) | 13.9 | 23.9 | 25.9
| | SN(E/C) | 0.92
|
|
|
|
|
|
|
| 3120074
| 47
| | Red | Green | Blue
| | z | | 19.11
| | znorm | | 14.93
| | sky | 15.3 | 15.1 | 15.0
| | S/N | 15.4 | 25.3 | 27.2
| | S/N(c) | 14.3 | 24.2 | 26.1
| | SN(E/C) | 0.94
|
|
|
|
|
|
|
| 3120075
| 47
| | Red | Green | Blue
| | z | | 19.09
| | znorm | | 14.91
| | sky | 15.1 | 15.1 | 15.0
| | S/N | 15.1 | 25.2 | 26.3
| | S/N(c) | 13.9 | 23.8 | 25.2
| | SN(E/C) | 0.91
|
|
|
|
|
|
|
| 3120076
| 47
| | Red | Green | Blue
| | z | | 19.07
| | znorm | | 14.89
| | sky | 15.0 | 15.1 | 14.8
| | S/N | 14.9 | 25.0 | 26.0
| | S/N(c) | 13.4 | 23.5 | 24.9
| | SN(E/C) | 0.91
|
|
|
|
|
|
|
| 3120077
| 47
| | Red | Green | Blue
| | z | | 18.87
| | znorm | | 14.69
| | sky | 14.6 | 14.7 | 14.8
| | S/N | 13.0 | 22.3 | 23.2
| | S/N(c) | 11.9 | 20.9 | 22.0
| | SN(E/C) | 0.92
|
|
|
|
|
|
|
| 3120078
| 47
| | Red | Green | Blue
| | z | | 18.78
| | znorm | | 14.60
| | sky | 14.6 | 14.5 | 14.7
| | S/N | 12.4 | 20.9 | 22.0
| | S/N(c) | 11.1 | 19.5 | 21.0
| | SN(E/C) | 0.93
|
|
|
|
|
|
|
| 3120079
| 47
| | Red | Green | Blue
| | z | | 18.80
| | znorm | | 14.62
| | sky | 14.8 | 14.7 | 14.7
| | S/N | 12.1 | 21.1 | 22.2
| | S/N(c) | 10.9 | 19.8 | 21.2
| | SN(E/C) | 0.96
|
|
|
|
|
|
|
| 3120080
| 47
| | Red | Green | Blue
| | z | | 19.04
| | znorm | | 14.86
| | sky | 14.9 | 15.1 | 15.0
| | S/N | 14.4 | 24.5 | 25.8
| | S/N(c) | 13.3 | 23.1 | 24.5
| | SN(E/C) | 0.92
|
|
|
|
|
|
|