PLATE: 5511 MJD: 55905 FIELD: 195-04

FrameCartsec zseeingNreadsDitherPixshiftZerosky continuumS/NS/N(c)
3430056 5 1.16 1.53 47 0.00 0.00 18.98 [15.07,14.43,14.44] [ 13.1, 22.0, 27.1] [ 11.5, 21.1, 25.1]
3430057 5 1.14 1.57 47 0.43 -0.00 18.90 [14.74,14.41,14.67] [ 12.0, 20.7, 25.1] [ 10.5, 19.7, 22.9]
3430058 5 1.13 1.73 47 0.43 0.00 18.96 [14.88,14.49,14.61] [ 13.5, 22.9, 27.3] [ 11.8, 21.3, 25.1]
3430059 5 1.11 1.67 47 -0.01 0.00 18.96 [14.48,14.51,14.63] [ 12.6, 21.2, 27.0] [ 11.2, 20.0, 25.0]
3430060 5 1.10 1.47 47 -0.01 -0.00 18.91 [14.65,14.56,14.69] [ 12.8, 22.2, 26.0] [ 11.4, 20.4, 24.1]
3430061 5 1.09 1.71 47 0.43 0.00 18.84 [14.93,14.61,14.72] [ 12.4, 21.3, 24.7] [ 11.0, 19.3, 22.9]
3430062 5 1.08 2.00 47 0.43 -0.00 18.61 [14.62,14.57,14.75] [ 10.7, 19.0, 22.4] [ 9.5, 17.4, 20.5]
3430063 5 1.07 2.19 47 -0.00 0.00 18.80 [14.75,14.61,14.65] [ 11.4, 20.2, 24.2] [ 10.0, 19.0, 22.8]

IPAIRNAMESHIFTNEWSHIFTS/N NAMESHIFTNEWSHIFTS/N
0 03430062 0.432 0.000 228.22 03430063 -0.004 0.436 250.03
1 03430057 0.431 0.001 269.59 03430056 0.000 0.432 277.70
2 03430058 0.432 0.001 260.87 03430059 -0.012 0.445 272.45
3 03430061 0.425 0.007 259.44 03430060 -0.012 0.444 264.39

Visit (multiple exposure and dither combined) spectra

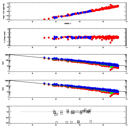
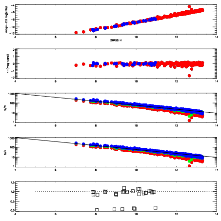
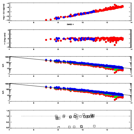
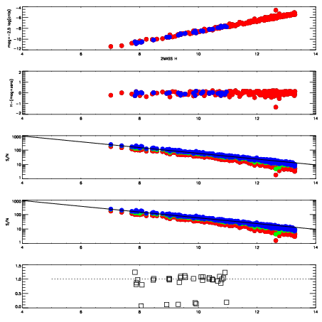
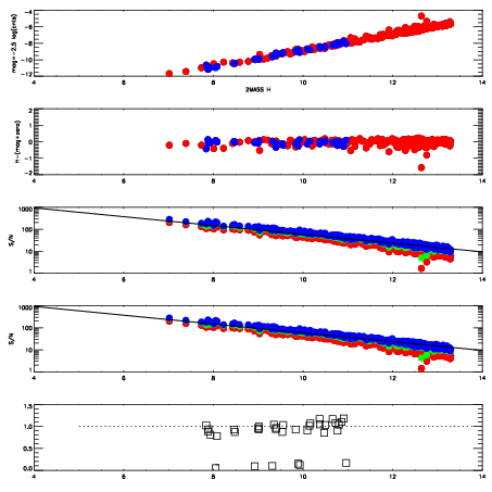
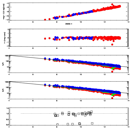
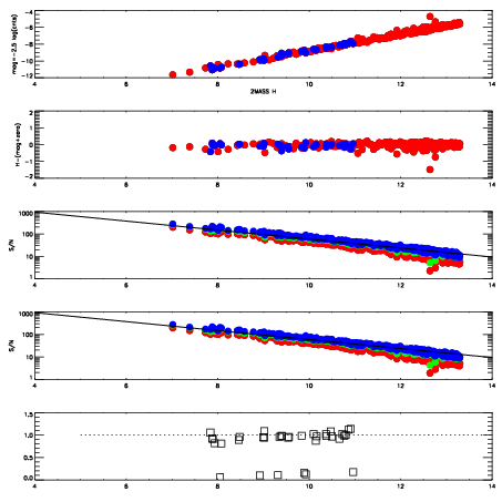
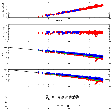
FrameZeropointsMag plots Spatial mag deviation Spatial sky 16325A emission deviations (filled: sky, open: star) Spatial sky continuum emission Spatial sky telluric CO2 absorption deviations (filled: H < 10)
3430056
RedGreenBlue
z18.98
znorm14.80
sky 15.1 14.4 14.4
S/N 13.1 22.0 27.1
S/N(c) 11.5 21.1 25.1
SN(E/C) 0.95
3430057
RedGreenBlue
z18.90
znorm14.72
sky 14.7 14.4 14.7
S/N 12.0 20.7 25.1
S/N(c) 10.5 19.7 22.9
SN(E/C) 0.96
3430058
RedGreenBlue
z18.96
znorm14.78
sky 14.9 14.5 14.6
S/N 13.5 22.9 27.3
S/N(c) 11.8 21.3 25.1
SN(E/C) 0.95
3430059
RedGreenBlue
z18.96
znorm14.78
sky 14.5 14.5 14.6
S/N 12.6 21.2 27.0
S/N(c) 11.2 20.0 25.0
SN(E/C) 0.94
3430060
RedGreenBlue
z18.91
znorm14.73
sky 14.7 14.6 14.7
S/N 12.8 22.2 26.0
S/N(c) 11.4 20.4 24.1
SN(E/C) 0.93
3430061
RedGreenBlue
z18.84
znorm14.66
sky 14.9 14.6 14.7
S/N 12.4 21.3 24.7
S/N(c) 11.0 19.3 22.9
SN(E/C) 0.96
3430062
RedGreenBlue
z18.61
znorm14.43
sky 14.6 14.6 14.8
S/N 10.7 19.0 22.4
S/N(c) 9.5 17.4 20.5
SN(E/C) 0.99
3430063
RedGreenBlue
z18.80
znorm14.62
sky 14.7 14.6 14.6
S/N 11.4 20.2 24.2
S/N(c) 10.0 19.0 22.8
SN(E/C) 0.96