PLATE: 5512 MJD: 55843 FIELD: 195-04

FrameCartsec zseeingNreadsDitherPixshiftZerosky continuumS/NS/N(c)
2810049 4 1.18 1.67 47 0.00 0.00 18.82 [15.49,14.66,14.75] [ 13.1, 21.4, 26.1] [ 11.3, 20.1, 24.5]
2810050 4 1.16 1.37 47 0.41 -0.00 18.82 [15.59,14.81,15.37] [ 13.2, 21.4, 25.8] [ 11.7, 20.1, 24.3]
2810051 4 1.14 1.83 47 0.42 0.00 18.88 [15.07,14.95,15.20] [ 13.3, 22.1, 26.1] [ 11.6, 20.7, 24.6]
2810052 4 1.13 1.72 47 0.02 -0.00 18.86 [15.28,15.01,15.24] [ 13.4, 21.9, 25.7] [ 11.6, 20.5, 24.1]
2810053 4 1.11 1.79 47 0.02 0.00 18.83 [15.08,15.07,15.30] [ 13.0, 21.5, 25.1] [ 11.3, 20.0, 23.3]
2810054 4 1.10 1.87 47 0.41 -0.00 18.80 [15.40,15.12,15.34] [ 12.7, 21.2, 24.6] [ 11.3, 19.8, 23.1]
2810055 4 1.09 1.91 47 0.41 0.00 18.85 [15.00,15.12,15.23] [ 13.2, 21.9, 24.9] [ 11.5, 20.3, 23.2]
2810056 4 1.08 1.91 47 0.02 -0.00 18.82 [15.08,15.17,15.39] [ 12.9, 21.4, 24.6] [ 10.8, 20.0, 22.9]
2810057 4 1.07 1.67 47 0.02 0.00 18.83 [15.17,15.16,15.44] [ 13.1, 21.7, 24.8] [ 11.4, 20.3, 22.8]
2810058 4 1.07 1.79 47 0.41 -0.00 18.89 [15.08,15.11,15.26] [ 13.4, 22.2, 25.5] [ 11.7, 20.7, 23.5]
2810059 4 1.06 1.74 47 0.41 -0.00 18.90 [15.24,15.21,15.27] [ 13.6, 22.7, 25.5] [ 12.0, 21.3, 23.5]
2810060 4 1.06 1.78 47 0.02 -0.00 18.74 [15.03,15.26,15.38] [ 12.1, 20.7, 23.2] [ 10.8, 19.2, 21.6]
2810061 4 1.06 2.13 47 0.02 0.00 18.79 [15.21,15.12,15.42] [ 12.6, 21.3, 23.6] [ 10.9, 19.7, 22.0]
2810062 4 1.06 1.61 47 0.41 0.00 18.92 [15.38,15.20,15.39] [ 13.8, 22.9, 25.3] [ 12.0, 21.3, 23.4]
2810063 4 1.06 2.09 47 0.41 -0.00 18.81 [15.15,15.09,15.35] [ 13.1, 21.6, 23.8] [ 11.3, 20.2, 22.1]
2810064 4 1.06 1.86 47 0.01 -0.00 18.78 [15.16,15.28,15.37] [ 12.4, 21.0, 23.7] [ 10.8, 19.6, 22.1]

IPAIRNAMESHIFTNEWSHIFTS/N NAMESHIFTNEWSHIFTS/N
0 02810051 0.416 0.000 261.92 02810056 0.016 0.400 256.21
1 02810062 0.413 0.003 267.58 02810052 0.019 0.397 260.87
2 02810059 0.412 0.004 265.15 02810057 0.018 0.398 258.42
3 02810058 0.410 0.006 262.80 02810053 0.017 0.399 256.93
4 02810050 0.410 0.006 254.15 02810049 0.000 0.416 255.08
5 02810054 0.413 0.003 252.96 02810061 0.021 0.395 251.85
6 02810055 0.414 0.002 228.32 02810064 0.015 0.401 248.73

Visit (multiple exposure and dither combined) spectra

FrameZeropointsMag plots Spatial mag deviation Spatial sky 16325A emission deviations (filled: sky, open: star) Spatial sky continuum emission Spatial sky telluric CO2 absorption deviations (filled: H < 10)
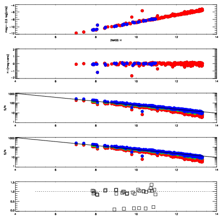
2810049
RedGreenBlue
z18.82
znorm14.64
sky 15.5 14.7 14.8
S/N 13.1 21.4 26.1
S/N(c) 11.3 20.1 24.5
SN(E/C) 0.99
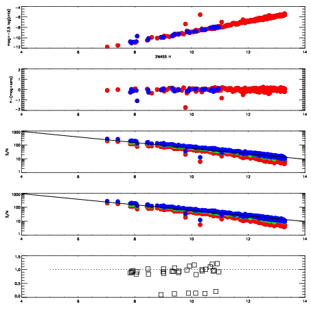
2810050
RedGreenBlue
z18.82
znorm14.64
sky 15.6 14.8 15.4
S/N 13.2 21.4 25.8
S/N(c) 11.7 20.1 24.3
SN(E/C) 0.94
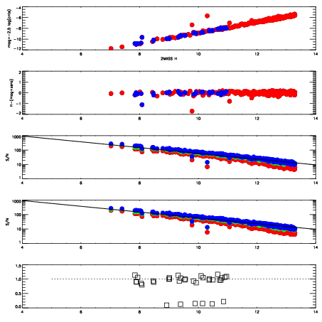
2810051
RedGreenBlue
z18.88
znorm14.70
sky 15.1 15.0 15.2
S/N 13.3 22.1 26.1
S/N(c) 11.6 20.7 24.6
SN(E/C) 0.99
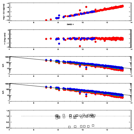
2810052
RedGreenBlue
z18.86
znorm14.68
sky 15.3 15.0 15.2
S/N 13.4 21.9 25.7
S/N(c) 11.6 20.5 24.1
SN(E/C) 0.93
2810053
RedGreenBlue
z18.83
znorm14.65
sky 15.1 15.1 15.3
S/N 13.0 21.5 25.1
S/N(c) 11.3 20.0 23.3
SN(E/C) 0.95
2810054
RedGreenBlue
z18.80
znorm14.62
sky 15.4 15.1 15.3
S/N 12.7 21.2 24.6
S/N(c) 11.3 19.8 23.1
SN(E/C) 0.98
2810055
RedGreenBlue
z18.85
znorm14.67
sky 15.0 15.1 15.2
S/N 13.2 21.9 24.9
S/N(c) 11.5 20.3 23.2
SN(E/C) 0.96
2810056
RedGreenBlue
z18.82
znorm14.64
sky 15.1 15.2 15.4
S/N 12.9 21.4 24.6
S/N(c) 10.8 20.0 22.9
SN(E/C) 0.99
2810057
RedGreenBlue
z18.83
znorm14.65
sky 15.2 15.2 15.4
S/N 13.1 21.7 24.8
S/N(c) 11.4 20.3 22.8
SN(E/C) 0.99
2810058
RedGreenBlue
z18.89
znorm14.71
sky 15.1 15.1 15.3
S/N 13.4 22.2 25.5
S/N(c) 11.7 20.7 23.5
SN(E/C) 0.96
2810059
RedGreenBlue
z18.90
znorm14.72
sky 15.2 15.2 15.3
S/N 13.6 22.7 25.5
S/N(c) 12.0 21.3 23.5
SN(E/C) 0.95
2810060
RedGreenBlue
z18.74
znorm14.56
sky 15.0 15.3 15.4
S/N 12.1 20.7 23.2
S/N(c) 10.8 19.2 21.6
SN(E/C) 0.98
2810061
RedGreenBlue
z18.79
znorm14.61
sky 15.2 15.1 15.4
S/N 12.6 21.3 23.6
S/N(c) 10.9 19.7 22.0
SN(E/C) 0.97
2810062
RedGreenBlue
z18.92
znorm14.73
sky 15.4 15.2 15.4
S/N 13.8 22.9 25.3
S/N(c) 12.0 21.3 23.4
SN(E/C) 0.93
2810063
RedGreenBlue
z18.81
znorm14.63
sky 15.1 15.1 15.3
S/N 13.1 21.6 23.8
S/N(c) 11.3 20.2 22.1
SN(E/C) 0.98
2810064
RedGreenBlue
z18.78
znorm14.60
sky 15.2 15.3 15.4
S/N 12.4 21.0 23.7
S/N(c) 10.8 19.6 22.1
SN(E/C) 1.01