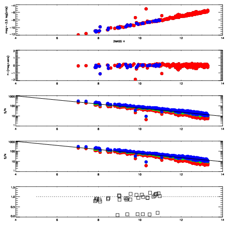
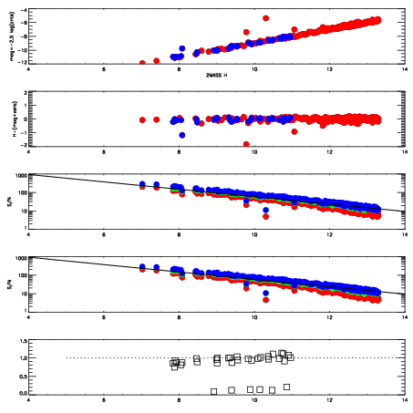
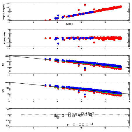
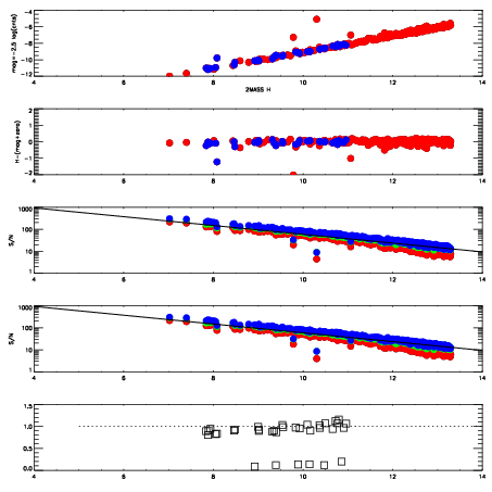
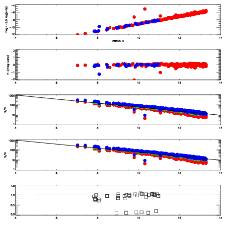
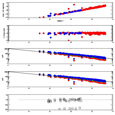
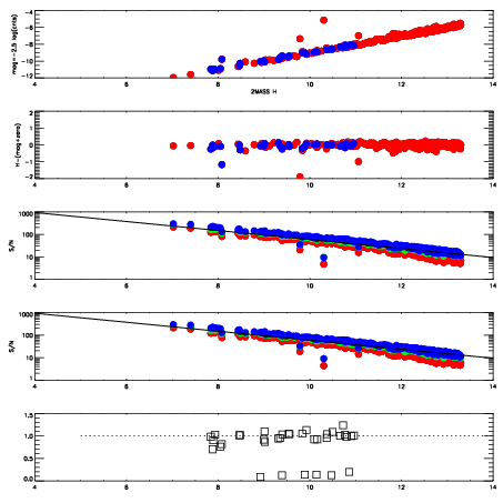
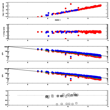
| Frame | Nreads | Zeropoints | Mag plots
| Spatial mag deviation
| Spatial sky 16325A emission deviations (filled: sky, open: star)
| Spatial sky continuum emission
| Spatial sky telluric CO2 absorption deviations (filled: H < 10)
|
| 2820079
| 47
| | Red | Green | Blue
| | z | | 19.00
| | znorm | | 14.82
| | sky | 15.6 | 14.7 | 15.0
| | S/N | 15.0 | 23.7 | 29.8
| | S/N(c) | 13.2 | 22.1 | 28.2
| | SN(E/C) | 0.93
|
|
|
|
|
|
|
| 2820080
| 47
| | Red | Green | Blue
| | z | | 19.04
| | znorm | | 14.86
| | sky | 15.0 | 14.8 | 15.4
| | S/N | 15.1 | 24.0 | 29.5
| | S/N(c) | 13.5 | 22.5 | 28.2
| | SN(E/C) | 0.92
|
|
|
|
|
|
|
| 2820081
| 47
| | Red | Green | Blue
| | z | | 19.07
| | znorm | | 14.89
| | sky | 14.8 | 14.8 | 15.3
| | S/N | 15.3 | 24.4 | 29.5
| | S/N(c) | 13.6 | 23.1 | 28.2
| | SN(E/C) | 0.92
|
|
|
|
|
|
|
| 2820082
| 47
| | Red | Green | Blue
| | z | | 19.09
| | znorm | | 14.91
| | sky | 14.9 | 15.0 | 15.4
| | S/N | 15.2 | 24.7 | 29.4
| | S/N(c) | 13.6 | 23.2 | 28.0
| | SN(E/C) | 0.93
|
|
|
|
|
|
|
| 2820083
| 47
| | Red | Green | Blue
| | z | | 19.03
| | znorm | | 14.85
| | sky | 15.1 | 15.0 | 15.3
| | S/N | 14.9 | 24.2 | 28.5
| | S/N(c) | 13.3 | 22.7 | 27.1
| | SN(E/C) | 0.98
|
|
|
|
|
|
|
| 2820084
| 47
| | Red | Green | Blue
| | z | | 19.08
| | znorm | | 14.90
| | sky | 15.4 | 15.0 | 15.4
| | S/N | 15.4 | 24.7 | 28.8
| | S/N(c) | 13.8 | 23.2 | 27.4
| | SN(E/C) | 0.92
|
|
|
|
|
|
|
| 2820085
| 47
| | Red | Green | Blue
| | z | | 19.08
| | znorm | | 14.90
| | sky | 14.9 | 15.0 | 15.4
| | S/N | 15.3 | 24.7 | 28.6
| | S/N(c) | 13.7 | 23.3 | 27.2
| | SN(E/C) | 0.95
|
|
|
|
|
|
|
| 2820086
| 47
| | Red | Green | Blue
| | z | | 19.00
| | znorm | | 14.82
| | sky | 14.8 | 15.4 | 15.5
| | S/N | 14.5 | 23.7 | 27.3
| | S/N(c) | 12.9 | 22.1 | 26.0
| | SN(E/C) | 0.94
|
|
|
|
|
|
|