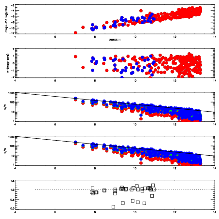
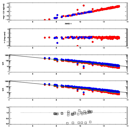
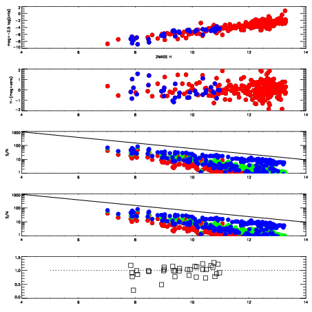
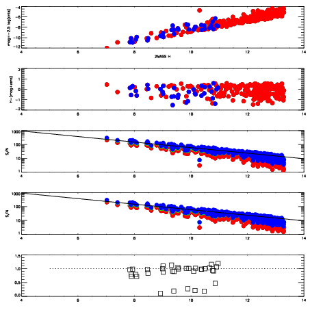
| Frame | Nreads | Zeropoints | Mag plots
| Spatial mag deviation
| Spatial sky 16325A emission deviations (filled: sky, open: star)
| Spatial sky continuum emission
| Spatial sky telluric CO2 absorption deviations (filled: H < 10)
|
| 2830081
| 47
| | Red | Green | Blue
| | z | | 19.01
| | znorm | | 14.83
| | sky | 14.9 | 14.6 | 14.5
| | S/N | 15.1 | 24.2 | 28.2
| | S/N(c) | 13.6 | 23.0 | 26.3
| | SN(E/C) | 0.91
|
|
|
|
|
|
|
| 2830082
| 47
| | Red | Green | Blue
| | z | | 19.04
| | znorm | | 14.86
| | sky | 15.2 | 14.9 | 15.1
| | S/N | 15.3 | 24.3 | 28.6
| | S/N(c) | 13.8 | 23.0 | 26.6
| | SN(E/C) | 0.92
|
|
|
|
|
|
|
| 2830083
| 47
| | Red | Green | Blue
| | z | | 19.13
| | znorm | | 14.95
| | sky | 15.0 | 14.9 | 15.2
| | S/N | 15.8 | 25.6 | 28.9
| | S/N(c) | 14.6 | 24.1 | 27.2
| | SN(E/C) | 0.93
|
|
|
|
|
|
|
| 2830084
| 47
| | Red | Green | Blue
| | z | | 18.97
| | znorm | | 14.79
| | sky | 15.0 | 15.0 | 15.3
| | S/N | 15.6 | 25.0 | 27.9
| | S/N(c) | 14.0 | 23.5 | 26.5
| | SN(E/C) | 0.95
|
|
|
|
|
|
|
| 2830085
| 47
| | Red | Green | Blue
| | z | | 18.56
| | znorm | | 14.38
| | sky | 14.9 | 15.0 | 15.5
| | S/N | 13.1 | 21.3 | 23.9
| | S/N(c) | 11.5 | 19.9 | 21.9
| | SN(E/C) | 0.96
|
|
|
|
|
|
|
| 2830086
| 47
| | Red | Green | Blue
| | z | | 17.74
| | znorm | | 13.56
| | sky | 15.7 | 15.2 | 15.6
| | S/N | 9.5 | 16.6 | 17.9
| | S/N(c) | 8.0 | 15.1 | 16.2
| | SN(E/C) | 1.01
|
|
|
|
|
|
|
| 2830087
| 47
| | Red | Green | Blue
| | z | | 16.50
| | znorm | | 12.32
| | sky | 15.2 | 15.3 | 15.9
| | S/N | 4.4 | 8.4 | 11.2
| | S/N(c) | 3.9 | 7.5 | 9.9
| | SN(E/C) | 1.02
|
|
|
|
|
|
|
| 2830088
| 47
| | Red | Green | Blue
| | z | | 15.37
| | znorm | | 11.19
| | sky | 15.1 | 15.2 | 16.0
| | S/N | 0.8 | 2.7 | 8.8
| | S/N(c) | 0.8 | 2.2 | 7.8
| | SN(E/C) | 0.99
|
|
|
|
|
|
|