PLATE: 5513 MJD: 55852 FIELD: 210+00

FrameCartsec zseeingNreadsDitherPixshiftZerosky continuumS/NS/N(c)
2900069 3 1.19 1.60 47 0.00 0.00 19.02 [15.18,14.90,15.00] [ 14.9, 24.9, 26.8] [ 13.1, 23.4, 24.9]
2900070 3 1.18 1.29 47 0.28 0.00 19.01 [15.01,14.76,15.36] [ 14.9, 25.1, 27.1] [ 13.2, 23.6, 25.2]
2900071 3 1.18 1.51 47 0.29 -0.00 18.96 [14.89,14.88,15.21] [ 14.5, 24.6, 26.6] [ 12.7, 22.8, 24.3]
2900072 3 1.17 1.40 47 -0.05 0.00 18.98 [15.19,14.84,15.27] [ 15.2, 25.2, 27.0] [ 13.3, 23.4, 24.8]
2900073 3 1.16 1.57 47 -0.05 -0.00 18.85 [14.93,14.91,15.19] [ 14.2, 23.9, 25.2] [ 12.3, 21.8, 23.0]
2900074 3 1.16 1.60 47 0.28 0.00 18.90 [15.06,14.88,15.31] [ 14.5, 24.4, 25.9] [ 12.6, 22.6, 23.6]
2900075 3 1.16 1.59 47 0.28 0.00 18.85 [15.04,14.95,15.34] [ 14.1, 24.0, 25.4] [ 12.3, 22.2, 23.3]
2900076 3 1.16 1.44 47 -0.05 -0.00 18.85 [14.95,14.90,15.22] [ 14.3, 24.3, 25.6] [ 12.5, 22.5, 23.5]

IPAIRNAMESHIFTNEWSHIFTS/N NAMESHIFTNEWSHIFTS/N
0 02900071 0.290 0.000 270.96 02900072 -0.049 0.338 272.95
1 02900070 0.281 0.009 277.14 02900069 0.000 0.290 275.54
2 02900074 0.282 0.008 265.52 02900076 -0.050 0.340 261.83
3 02900075 0.285 0.005 259.92 02900073 -0.054 0.344 257.43

Visit (multiple exposure and dither combined) spectra

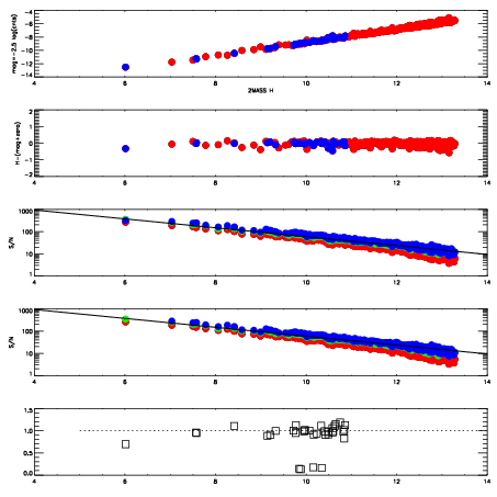
FrameZeropointsMag plots Spatial mag deviation Spatial sky 16325A emission deviations (filled: sky, open: star) Spatial sky continuum emission Spatial sky telluric CO2 absorption deviations (filled: H < 10)
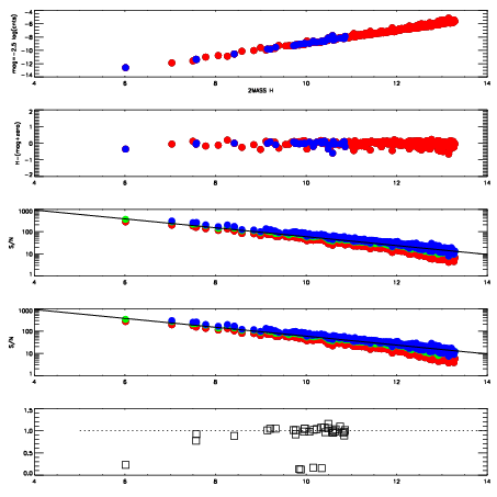
2900069
RedGreenBlue
z19.02
znorm14.84
sky 15.2 14.9 15.0
S/N 14.9 24.9 26.8
S/N(c) 13.1 23.4 24.9
SN(E/C) 0.97
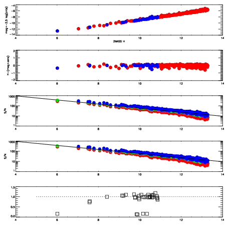
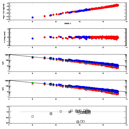
2900070
RedGreenBlue
z19.01
znorm14.83
sky 15.0 14.8 15.4
S/N 14.9 25.1 27.1
S/N(c) 13.2 23.6 25.2
SN(E/C) 0.94
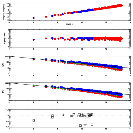
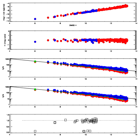
2900071
RedGreenBlue
z18.96
znorm14.78
sky 14.9 14.9 15.2
S/N 14.5 24.6 26.6
S/N(c) 12.7 22.8 24.3
SN(E/C) 0.98
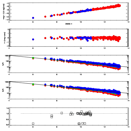
2900072
RedGreenBlue
z18.98
znorm14.80
sky 15.2 14.8 15.3
S/N 15.2 25.2 27.0
S/N(c) 13.3 23.4 24.8
SN(E/C) 0.98
2900073
RedGreenBlue
z18.85
znorm14.67
sky 14.9 14.9 15.2
S/N 14.2 23.9 25.2
S/N(c) 12.3 21.8 23.0
SN(E/C) 0.98
2900074
RedGreenBlue
z18.90
znorm14.72
sky 15.1 14.9 15.3
S/N 14.5 24.4 25.9
S/N(c) 12.6 22.6 23.6
SN(E/C) 0.97
2900075
RedGreenBlue
z18.85
znorm14.67
sky 15.0 14.9 15.3
S/N 14.1 24.0 25.4
S/N(c) 12.3 22.2 23.3
SN(E/C) 0.97
2900076
RedGreenBlue
z18.85
znorm14.67
sky 14.9 14.9 15.2
S/N 14.3 24.3 25.6
S/N(c) 12.5 22.5 23.5
SN(E/C) 0.97