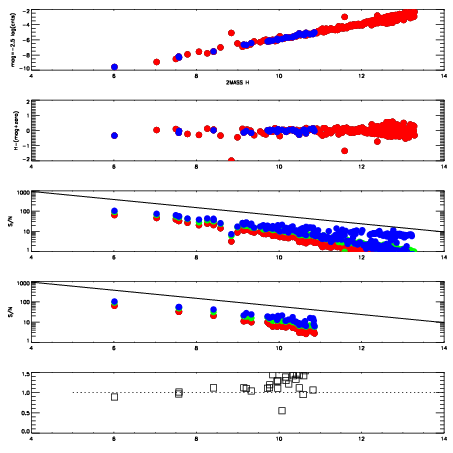
| Frame | Nreads | Zeropoints | Mag plots
| Spatial mag deviation
| Spatial sky 16325A emission deviations (filled: sky, open: star)
| Spatial sky continuum emission
| Spatial sky telluric CO2 absorption deviations (filled: H < 10)
|
| 3120084
| 47
| | Red | Green | Blue
| | z | | 18.35
| | znorm | | 14.17
| | sky | 14.4 | 14.1 | 14.3
| | S/N | 9.0 | 16.1 | 17.0
| | S/N(c) | 7.6 | 15.1 | 15.6
| | SN(E/C) | 1.02
|
|
|
|
|
|
|
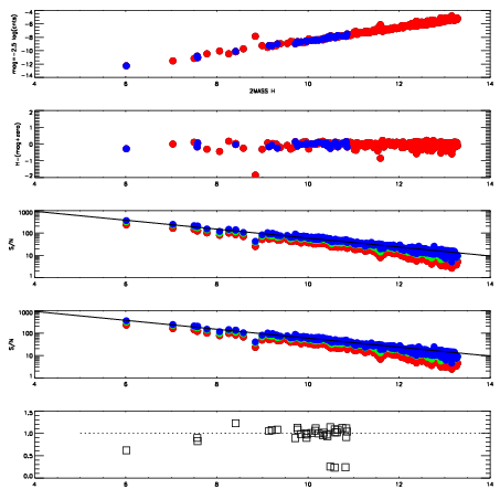
| 3120085
| 47
| | Red | Green | Blue
| | z | | 18.56
| | znorm | | 14.38
| | sky | 14.4 | 14.2 | 14.7
| | S/N | 10.9 | 18.7 | 20.4
| | S/N(c) | 9.5 | 17.7 | 18.6
| | SN(E/C) | 1.01
|
|
|
|
|
|
|
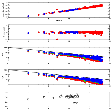
| 3120086
| 47
| | Red | Green | Blue
| | z | | 17.43
| | znorm | | 13.24
| | sky | 13.7 | 13.6 | 13.8
| | S/N | 4.2 | 8.0 | 8.4
| | S/N(c) | 3.6 | 7.4 | 7.4
| | SN(E/C) | 1.04
|
|
|
|
|
|
|
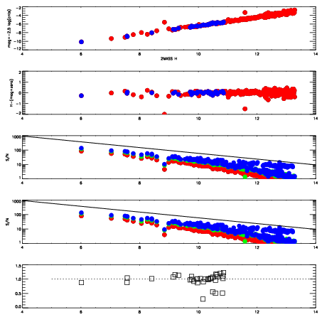
| 3120087
| 47
| | Red | Green | Blue
| | z | | 16.82
| | znorm | | 12.64
| | sky | 13.7 | 13.6 | 13.8
| | S/N | 2.4 | 5.1 | 5.0
| | S/N(c) | 2.1 | 4.6 | 4.5
| | SN(E/C) | 1.05
|
|
|
|
|
|
|
| 3120088
| 47
| | Red | Green | Blue
| | z | | 16.42
| | znorm | | 12.24
| | sky | 13.5 | 13.4 | 13.6
| | S/N | 1.7 | 3.5 | 3.7
| | S/N(c) | 1.4 | 3.2 | 3.3
| | SN(E/C) | 1.01
|
|
|
|
|
|
|
| 3120089
| 47
| | Red | Green | Blue
| | z | | 15.43
| | znorm | | 11.25
| | sky | 13.5 | 13.4 | 13.5
| | S/N | 0.6 | 1.5 | 1.4
| | S/N(c) | 0.0 | 0.0 | 0.0
| | SN(E/C) | 1.48
|
|
|
|
|
|
|
| 3120090
| 47
| | Red | Green | Blue
| | z | | 15.92
| | znorm | | 11.74
| | sky | 13.5 | 13.4 | 13.5
| | S/N | 1.1 | 2.3 | 2.2
| | S/N(c) | 0.0 | 0.0 | 0.0
| | SN(E/C) | 1.29
|
|
|
|
|
|
|
| 3120091
| 47
| | Red | Green | Blue
| | z | | 15.51
| | znorm | | 11.33
| | sky | 13.4 | 13.3 | 13.4
| | S/N | 0.7 | 1.6 | 1.3
| | S/N(c) | 0.0 | 0.0 | 0.0
| | SN(E/C) | 1.59
|
|
|
|
|
|
|