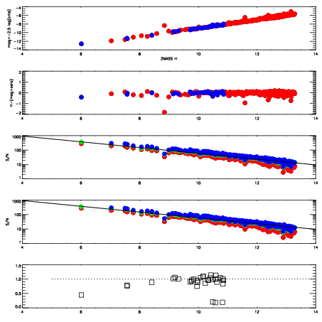
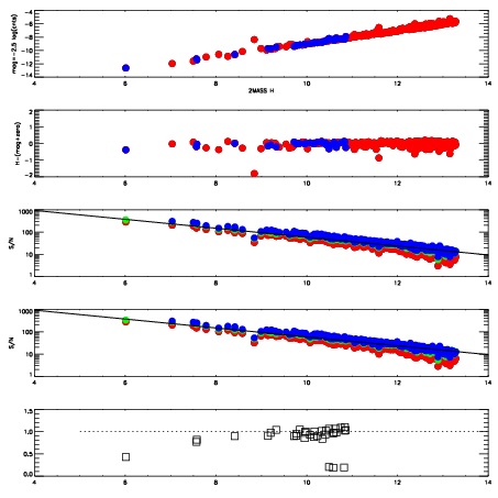
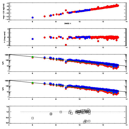
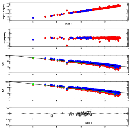
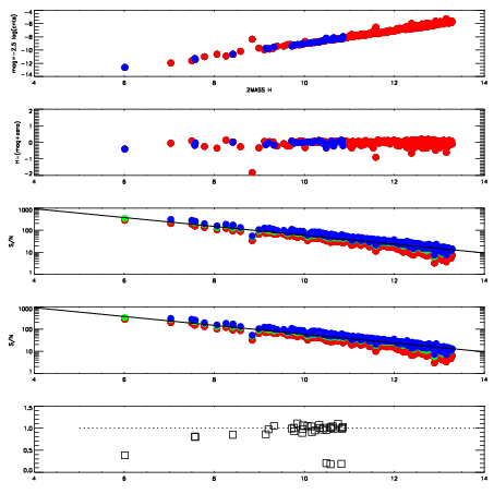
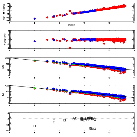
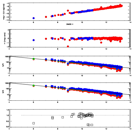
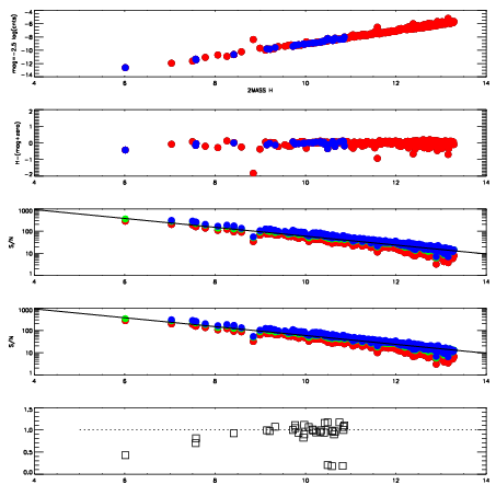
| Frame | Nreads | Zeropoints | Mag plots
| Spatial mag deviation
| Spatial sky 16325A emission deviations (filled: sky, open: star)
| Spatial sky continuum emission
| Spatial sky telluric CO2 absorption deviations (filled: H < 10)
|
| 3130029
| 47
| | Red | Green | Blue
| | z | | 19.02
| | znorm | | 14.84
| | sky | 15.8 | 15.1 | 15.2
| | S/N | 15.8 | 25.3 | 27.7
| | S/N(c) | 14.0 | 24.1 | 26.0
| | SN(E/C) | 0.96
|
|
|
|
|
|
|
| 3130030
| 47
| | Red | Green | Blue
| | z | | 19.04
| | znorm | | 14.86
| | sky | 15.5 | 15.1 | 15.5
| | S/N | 15.9 | 25.7 | 28.3
| | S/N(c) | 14.2 | 24.6 | 26.4
| | SN(E/C) | 0.98
|
|
|
|
|
|
|
| 3130031
| 47
| | Red | Green | Blue
| | z | | 19.05
| | znorm | | 14.87
| | sky | 15.5 | 15.1 | 15.5
| | S/N | 16.0 | 26.0 | 28.2
| | S/N(c) | 14.2 | 24.9 | 26.4
| | SN(E/C) | 0.97
|
|
|
|
|
|
|
| 3130032
| 47
| | Red | Green | Blue
| | z | | 19.06
| | znorm | | 14.88
| | sky | 15.2 | 15.1 | 15.5
| | S/N | 15.8 | 26.0 | 28.5
| | S/N(c) | 13.9 | 25.0 | 26.6
| | SN(E/C) | 0.98
|
|
|
|
|
|
|
| 3130033
| 47
| | Red | Green | Blue
| | z | | 19.02
| | znorm | | 14.84
| | sky | 15.5 | 15.2 | 15.4
| | S/N | 15.3 | 25.9 | 27.9
| | S/N(c) | 13.6 | 24.3 | 26.1
| | SN(E/C) | 0.96
|
|
|
|
|
|
|
| 3130034
| 47
| | Red | Green | Blue
| | z | | 19.03
| | znorm | | 14.85
| | sky | 15.1 | 15.1 | 15.5
| | S/N | 15.6 | 26.2 | 28.0
| | S/N(c) | 13.9 | 24.6 | 26.1
| | SN(E/C) | 0.98
|
|
|
|
|
|
|
| 3130035
| 47
| | Red | Green | Blue
| | z | | 19.04
| | znorm | | 14.86
| | sky | 15.0 | 15.2 | 15.4
| | S/N | 15.6 | 26.3 | 28.1
| | S/N(c) | 13.9 | 25.0 | 26.4
| | SN(E/C) | 0.96
|
|
|
|
|
|
|
| 3130036
| 47
| | Red | Green | Blue
| | z | | 19.06
| | znorm | | 14.88
| | sky | 15.8 | 15.1 | 15.4
| | S/N | 16.2 | 26.5 | 28.4
| | S/N(c) | 14.4 | 25.0 | 26.3
| | SN(E/C) | 0.97
|
|
|
|
|
|
|