PLATE: 5514 MJD: 55851 FIELD: 210+00

FrameCartsec zseeingNreadsDitherPixshiftZerosky continuumS/NS/N(c)
2890096 4 1.20 1.31 47 0.00 0.00 19.03 [15.21,14.60,14.94] [ 14.1, 23.2, 27.8] [ 12.2, 21.7, 26.3]
2890097 4 1.19 1.13 47 0.26 -0.00 19.07 [14.90,14.52,14.87] [ 14.4, 23.5, 27.2] [ 12.3, 22.0, 26.3]
2890098 4 1.18 1.27 47 0.26 0.00 19.06 [14.82,14.70,14.90] [ 14.7, 23.9, 26.5] [ 12.4, 22.5, 25.5]
2890099 4 1.17 1.37 47 -0.05 -0.00 19.11 [14.85,14.73,14.83] [ 15.2, 24.7, 26.5] [ 13.0, 23.1, 25.6]
2890100 4 1.17 1.15 47 -0.05 -0.00 19.09 [14.94,14.82,14.78] [ 15.2, 24.3, 26.2] [ 13.0, 22.9, 25.1]
2890101 4 1.16 1.03 47 0.26 0.00 19.13 [15.16,14.85,14.74] [ 15.3, 24.8, 26.7] [ 13.0, 23.2, 25.4]
2890102 4 1.16 1.10 47 0.26 0.00 19.15 [14.93,14.88,14.76] [ 15.7, 24.9, 27.6] [ 13.8, 23.4, 26.0]
2890103 4 1.16 1.04 47 -0.05 0.00 19.14 [14.94,14.91,14.78] [ 15.5, 25.0, 27.5] [ 13.6, 23.5, 25.8]

IPAIRNAMESHIFTNEWSHIFTS/N NAMESHIFTNEWSHIFTS/N
0 02890102 0.260 0.000 197.63 02890103 -0.050 0.310 199.24
1 02890101 0.256 0.004 196.38 02890099 -0.050 0.310 192.51
2 02890097 0.258 0.002 188.65 02890100 -0.053 0.313 191.61
3 02890098 0.257 0.003 187.24 02890096 0.000 0.260 183.59

Visit (multiple exposure and dither combined) spectra

FrameZeropointsMag plots Spatial mag deviation Spatial sky 16325A emission deviations (filled: sky, open: star) Spatial sky continuum emission Spatial sky telluric CO2 absorption deviations (filled: H < 10)
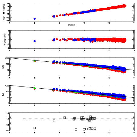
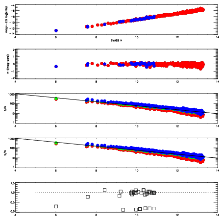
2890096
RedGreenBlue
z19.03
znorm14.85
sky 15.2 14.6 14.9
S/N 14.1 23.2 27.8
S/N(c) 12.2 21.7 26.3
SN(E/C) 0.97
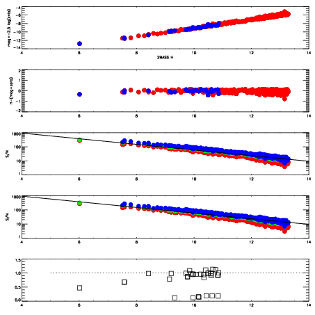
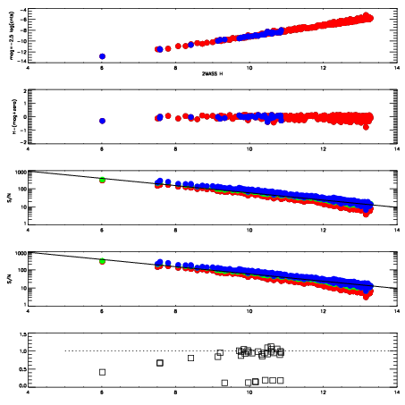
2890097
RedGreenBlue
z19.07
znorm14.89
sky 14.9 14.5 14.9
S/N 14.4 23.5 27.2
S/N(c) 12.3 22.0 26.3
SN(E/C) 0.92
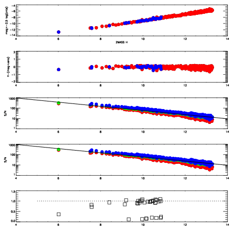
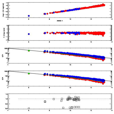
2890098
RedGreenBlue
z19.06
znorm14.88
sky 14.8 14.7 14.9
S/N 14.7 23.9 26.5
S/N(c) 12.4 22.5 25.5
SN(E/C) 0.96
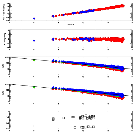
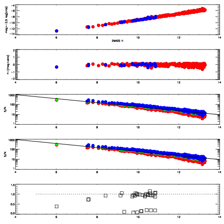
2890099
RedGreenBlue
z19.11
znorm14.93
sky 14.9 14.7 14.8
S/N 15.2 24.7 26.5
S/N(c) 13.0 23.1 25.6
SN(E/C) 0.94
2890100
RedGreenBlue
z19.09
znorm14.91
sky 14.9 14.8 14.8
S/N 15.2 24.3 26.2
S/N(c) 13.0 22.9 25.1
SN(E/C) 0.93
2890101
RedGreenBlue
z19.13
znorm14.95
sky 15.2 14.9 14.7
S/N 15.3 24.8 26.7
S/N(c) 13.0 23.2 25.4
SN(E/C) 0.94
2890102
RedGreenBlue
z19.15
znorm14.97
sky 14.9 14.9 14.8
S/N 15.7 24.9 27.6
S/N(c) 13.8 23.4 26.0
SN(E/C) 0.93
2890103
RedGreenBlue
z19.14
znorm14.96
sky 14.9 14.9 14.8
S/N 15.5 25.0 27.5
S/N(c) 13.6 23.5 25.8
SN(E/C) 0.91