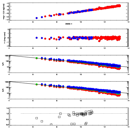
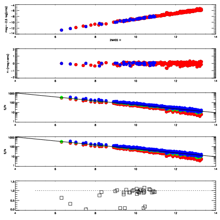
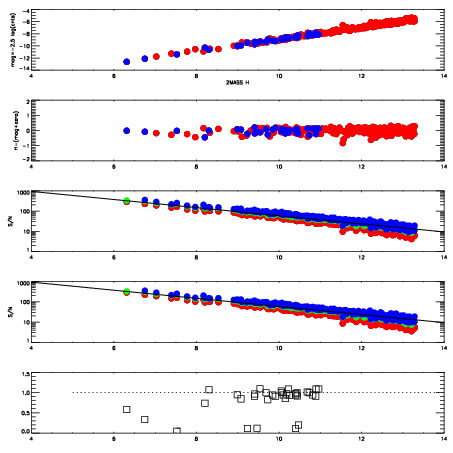
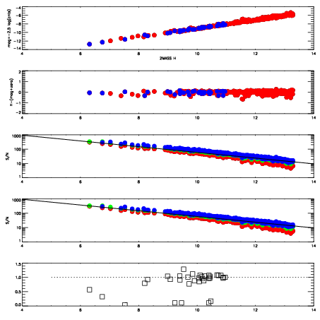
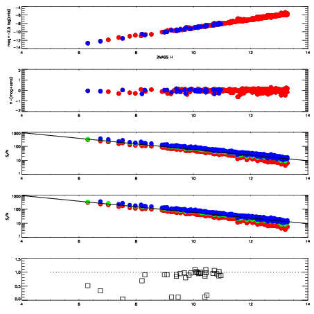
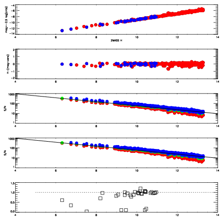
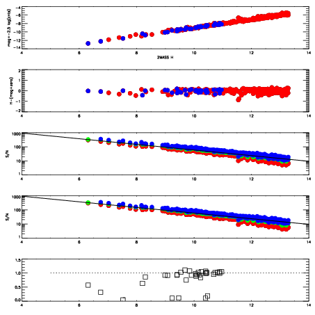
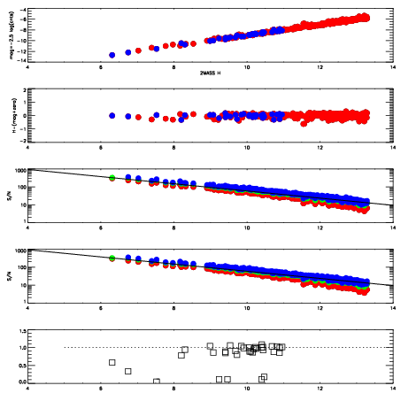
| Frame | Nreads | Zeropoints | Mag plots
| Spatial mag deviation
| Spatial sky 16325A emission deviations (filled: sky, open: star)
| Spatial sky continuum emission
| Spatial sky telluric CO2 absorption deviations (filled: H < 10)
|
| 2820090
| 47
| | Red | Green | Blue
| | z | | 18.94
| | znorm | | 14.76
| | sky | 15.1 | 14.8 | 14.7
| | S/N | 15.5 | 25.3 | 26.6
| | S/N(c) | 13.5 | 23.6 | 25.7
| | SN(E/C) | 0.94
|
|
|
|
|
|
|
| 2820091
| 47
| | Red | Green | Blue
| | z | | 19.05
| | znorm | | 14.87
| | sky | 15.1 | 14.9 | 14.8
| | S/N | 16.6 | 26.5 | 28.1
| | S/N(c) | 14.4 | 24.8 | 27.1
| | SN(E/C) | 0.93
|
|
|
|
|
|
|
| 2820092
| 47
| | Red | Green | Blue
| | z | | 19.02
| | znorm | | 14.84
| | sky | 15.0 | 14.9 | 14.8
| | S/N | 16.0 | 26.3 | 27.7
| | S/N(c) | 13.9 | 24.5 | 26.5
| | SN(E/C) | 0.95
|
|
|
|
|
|
|
| 2820093
| 47
| | Red | Green | Blue
| | z | | 18.97
| | znorm | | 14.79
| | sky | 15.1 | 14.9 | 14.9
| | S/N | 15.3 | 25.7 | 26.8
| | S/N(c) | 13.6 | 23.8 | 25.6
| | SN(E/C) | 0.92
|
|
|
|
|
|
|
| 2820094
| 47
| | Red | Green | Blue
| | z | | 19.01
| | znorm | | 14.83
| | sky | 15.0 | 15.0 | 14.8
| | S/N | 16.1 | 26.1 | 27.3
| | S/N(c) | 14.0 | 24.2 | 26.2
| | SN(E/C) | 0.90
|
|
|
|
|
|
|
| 2820095
| 47
| | Red | Green | Blue
| | z | | 19.05
| | znorm | | 14.87
| | sky | 15.3 | 15.0 | 14.9
| | S/N | 16.0 | 26.3 | 27.8
| | S/N(c) | 14.0 | 24.4 | 26.3
| | SN(E/C) | 0.91
|
|
|
|
|
|
|
| 2820096
| 47
| | Red | Green | Blue
| | z | | 19.06
| | znorm | | 14.88
| | sky | 15.3 | 15.1 | 14.8
| | S/N | 16.1 | 26.6 | 27.9
| | S/N(c) | 14.0 | 24.6 | 26.5
| | SN(E/C) | 0.95
|
|
|
|
|
|
|
| 2820097
| 47
| | Red | Green | Blue
| | z | | 19.10
| | znorm | | 14.92
| | sky | 15.4 | 15.0 | 14.9
| | S/N | 16.4 | 27.2 | 28.6
| | S/N(c) | 14.3 | 25.3 | 27.0
| | SN(E/C) | 0.97
|
|
|
|
|
|
|