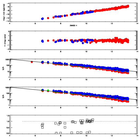
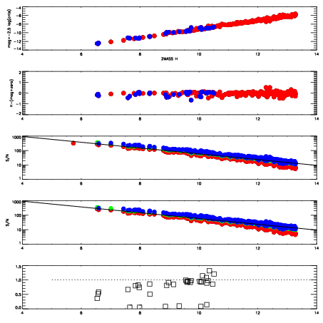
| Frame | Nreads | Zeropoints | Mag plots
| Spatial mag deviation
| Spatial sky 16325A emission deviations (filled: sky, open: star)
| Spatial sky continuum emission
| Spatial sky telluric CO2 absorption deviations (filled: H < 10)
|
| 2930034
| 47
| | Red | Green | Blue
| | z | | 19.16
| | znorm | | 14.98
| | sky | 14.9 | 14.4 | 14.6
| | S/N | 17.0 | 26.5 | 30.1
| | S/N(c) | 14.6 | 24.8 | 28.2
| | SN(E/C) | 0.90
|
|
|
|
|
|
|
| 2930035
| 47
| | Red | Green | Blue
| | z | | 19.17
| | znorm | | 14.99
| | sky | 14.7 | 14.4 | 14.7
| | S/N | 16.7 | 26.6 | 30.1
| | S/N(c) | 14.6 | 25.0 | 28.3
| | SN(E/C) | 0.91
|
|
|
|
|
|
|
| 2930036
| 47
| | Red | Green | Blue
| | z | | 19.18
| | znorm | | 15.00
| | sky | 14.6 | 14.6 | 14.6
| | S/N | 17.0 | 26.7 | 30.2
| | S/N(c) | 14.8 | 25.0 | 28.3
| | SN(E/C) | 0.85
|
|
|
|
|
|
|
| 2930037
| 47
| | Red | Green | Blue
| | z | | 19.20
| | znorm | | 15.02
| | sky | 14.9 | 14.6 | 14.6
| | S/N | 17.0 | 27.2 | 30.3
| | S/N(c) | 14.9 | 25.3 | 28.7
| | SN(E/C) | 0.86
|
|
|
|
|
|
|
| 2930038
| 47
| | Red | Green | Blue
| | z | | 19.19
| | znorm | | 15.01
| | sky | 14.7 | 14.7 | 14.7
| | S/N | 16.8 | 27.2 | 30.0
| | S/N(c) | 14.7 | 25.2 | 28.4
| | SN(E/C) | 0.84
|
|
|
|
|
|
|
| 2930039
| 47
| | Red | Green | Blue
| | z | | 19.21
| | znorm | | 15.03
| | sky | 14.7 | 14.5 | 14.5
| | S/N | 17.0 | 27.4 | 29.9
| | S/N(c) | 14.9 | 25.5 | 28.4
| | SN(E/C) | 0.92
|
|
|
|
|
|
|