PLATE: 5521 MJD: 55910 FIELD: 210-08

FrameCartsec zseeingNreadsDitherPixshiftZerosky continuumS/NS/N(c)
3480036 9 1.21 1.79 47 0.00 -0.00 18.88 [15.42,14.80,14.76] [ 13.9, 22.4, 25.0] [ 12.3, 20.7, 24.2]
3480037 9 1.21 2.03 47 0.47 -0.00 18.90 [15.07,14.78,14.83] [ 13.6, 22.7, 25.4] [ 11.9, 21.1, 24.1]
3480038 9 1.20 1.64 47 0.47 -0.00 18.79 [14.78,14.87,14.99] [ 12.5, 21.6, 24.1] [ 11.1, 19.7, 22.7]
3480039 9 1.20 1.84 47 0.02 -0.00 18.79 [15.34,14.94,14.93] [ 12.9, 21.6, 24.1] [ 11.4, 19.9, 22.8]
3480040 9 1.21 1.88 47 0.02 -0.00 18.63 [15.13,15.05,14.98] [ 11.4, 19.6, 21.6] [ 10.1, 18.0, 20.7]
3480041 9 1.21 2.99 47 0.47 0.00 18.52 [15.21,14.89,15.07] [ 10.4, 18.5, 20.4] [ 9.0, 17.0, 19.4]
3480042 9 1.21 2.00 47 0.47 -0.00 18.89 [14.91,14.84,14.83] [ 13.5, 22.7, 24.9] [ 12.0, 20.9, 24.1]
3480043 9 1.22 1.76 47 0.02 0.00 18.90 [14.79,15.00,14.82] [ 14.1, 23.0, 25.0] [ 12.6, 21.1, 24.3]

IPAIRNAMESHIFTNEWSHIFTS/N NAMESHIFTNEWSHIFTS/N
0 03480042 0.473 0.000 246.27 03480043 0.019 0.454 247.92
1 03480037 0.469 0.005 243.41 03480036 0.000 0.473 241.66
2 03480038 0.467 0.006 232.77 03480039 0.016 0.457 234.18
3 03480041 0.472 0.001 213.01 03480040 0.019 0.455 218.29

Visit (multiple exposure and dither combined) spectra

FrameZeropointsMag plots Spatial mag deviation Spatial sky 16325A emission deviations (filled: sky, open: star) Spatial sky continuum emission Spatial sky telluric CO2 absorption deviations (filled: H < 10)
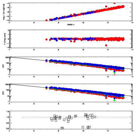
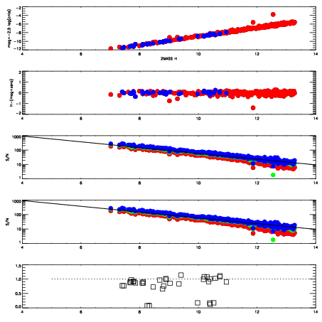
3480036
RedGreenBlue
z18.88
znorm14.70
sky 15.4 14.8 14.8
S/N 13.9 22.4 25.0
S/N(c) 12.3 20.7 24.2
SN(E/C) 0.90
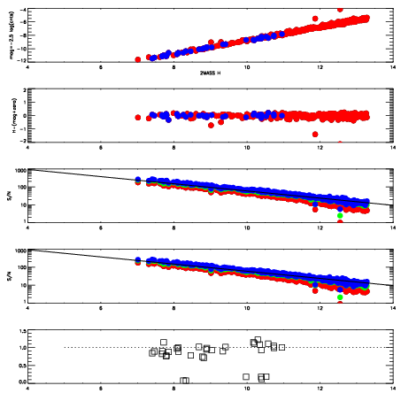
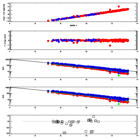
3480037
RedGreenBlue
z18.90
znorm14.72
sky 15.1 14.8 14.8
S/N 13.6 22.7 25.4
S/N(c) 11.9 21.1 24.1
SN(E/C) 0.88
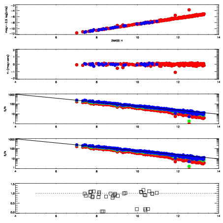
3480038
RedGreenBlue
z18.79
znorm14.61
sky 14.8 14.9 15.0
S/N 12.5 21.6 24.1
S/N(c) 11.1 19.7 22.7
SN(E/C) 0.89
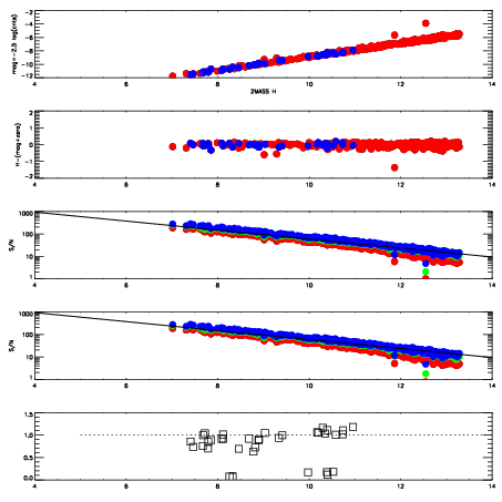
3480039
RedGreenBlue
z18.79
znorm14.61
sky 15.3 14.9 14.9
S/N 12.9 21.6 24.1
S/N(c) 11.4 19.9 22.8
SN(E/C) 0.89
3480040
RedGreenBlue
z18.63
znorm14.45
sky 15.1 15.1 15.0
S/N 11.4 19.6 21.6
S/N(c) 10.1 18.0 20.7
SN(E/C) 0.96
3480041
RedGreenBlue
z18.52
znorm14.34
sky 15.2 14.9 15.1
S/N 10.4 18.5 20.4
S/N(c) 9.0 17.0 19.4
SN(E/C) 0.92
3480042
RedGreenBlue
z18.89
znorm14.71
sky 14.9 14.8 14.8
S/N 13.5 22.7 24.9
S/N(c) 12.0 20.9 24.1
SN(E/C) 0.91
3480043
RedGreenBlue
z18.90
znorm14.72
sky 14.8 15.0 14.8
S/N 14.1 23.0 25.0
S/N(c) 12.6 21.1 24.3
SN(E/C) 0.92