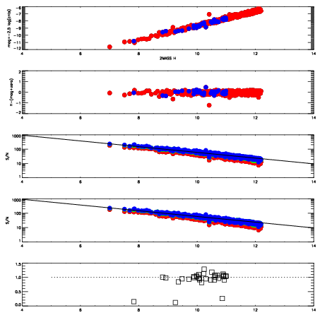
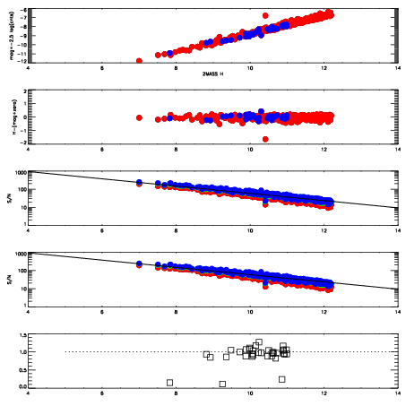
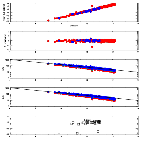
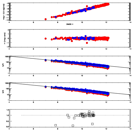
| Frame | Nreads | Zeropoints | Mag plots
| Spatial mag deviation
| Spatial sky 16325A emission deviations (filled: sky, open: star)
| Spatial sky continuum emission
| Spatial sky telluric CO2 absorption deviations (filled: H < 10)
|
| 5490033
| 47
| | Red | Green | Blue
| | z | | 18.35
| | znorm | | 14.17
| | sky | 13.8 | 13.6 | 13.5
| | S/N | 10.3 | 16.1 | 16.9
| | S/N(c) | 9.1 | 14.9 | 15.3
| | SN(E/C) | 1.02
|
|
|
|
|
|
|
| 5490034
| 47
| | Red | Green | Blue
| | z | | 18.63
| | znorm | | 14.45
| | sky | 13.7 | 13.7 | 13.8
| | S/N | 12.3 | 19.2 | 20.2
| | S/N(c) | 10.9 | 17.6 | 18.0
| | SN(E/C) | 0.97
|
|
|
|
|
|
|
| 5490035
| 47
| | Red | Green | Blue
| | z | | 18.59
| | znorm | | 14.41
| | sky | 13.6 | 13.6 | 13.8
| | S/N | 12.0 | 18.6 | 19.7
| | S/N(c) | 10.8 | 16.7 | 17.9
| | SN(E/C) | 0.98
|
|
|
|
|
|
|
| 5490036
| 47
| | Red | Green | Blue
| | z | | 18.63
| | znorm | | 14.45
| | sky | 13.7 | 13.7 | 13.7
| | S/N | 12.4 | 18.7 | 19.9
| | S/N(c) | 11.0 | 17.2 | 18.4
| | SN(E/C) | 0.98
|
|
|
|
|
|
|
| 5490037
| 47
| | Red | Green | Blue
| | z | | 18.70
| | znorm | | 14.52
| | sky | 13.8 | 13.6 | 13.7
| | S/N | 13.0 | 19.6 | 20.7
| | S/N(c) | 11.6 | 18.1 | 19.0
| | SN(E/C) | 1.00
|
|
|
|
|
|
|
| 5490038
| 47
| | Red | Green | Blue
| | z | | 18.65
| | znorm | | 14.47
| | sky | 13.8 | 13.7 | 13.7
| | S/N | 12.4 | 19.4 | 20.1
| | S/N(c) | 11.1 | 17.8 | 18.6
| | SN(E/C) | 0.98
|
|
|
|
|
|
|
| 5490039
| 47
| | Red | Green | Blue
| | z | | 18.76
| | znorm | | 14.58
| | sky | 13.7 | 13.7 | 13.7
| | S/N | 13.6 | 20.4 | 21.3
| | S/N(c) | 12.1 | 19.1 | 19.7
| | SN(E/C) | 0.99
|
|
|
|
|
|
|
| 5490040
| 47
| | Red | Green | Blue
| | z | | 18.84
| | znorm | | 14.66
| | sky | 13.7 | 13.7 | 13.7
| | S/N | 14.4 | 21.7 | 22.1
| | S/N(c) | 12.8 | 19.6 | 20.4
| | SN(E/C) | 0.96
|
|
|
|
|
|
|