PLATE: 5524 MJD: 56472 FIELD: 045+00

FrameCartsec zseeingNreadsDitherPixshiftZerosky continuumS/NS/N(c)
9100022 9 1.08 1.82 47 0.00 0.00 18.59 [14.42,14.22,14.18] [ 11.1, 18.1, 18.3] [ 10.0, 16.9, 17.0]
9100023 9 1.08 1.88 47 0.52 -0.00 18.77 [14.25,14.27,14.57] [ 12.7, 20.2, 20.1] [ 11.6, 18.9, 18.6]
9100024 9 1.08 1.35 47 0.52 -0.00 18.79 [14.33,14.35,14.48] [ 12.7, 20.1, 20.0] [ 11.4, 19.0, 18.9]
9100025 9 1.08 1.28 47 0.09 0.00 18.79 [14.15,14.30,14.55] [ 12.9, 20.2, 20.5] [ 11.6, 18.6, 19.0]
9100026 9 1.08 1.30 47 0.09 -0.00 18.83 [14.34,14.29,14.42] [ 13.3, 21.0, 20.6] [ 12.1, 19.5, 19.2]
9100027 9 1.09 1.22 47 0.53 -0.00 18.86 [14.16,14.25,14.48] [ 13.6, 21.1, 21.2] [ 12.2, 19.7, 19.8]
9100028 9 1.09 1.11 47 0.53 0.00 18.61 [14.10,14.23,14.37] [ 11.3, 18.6, 18.3] [ 10.2, 17.3, 16.8]
9100029 9 1.10 1.26 47 0.08 -0.00 18.81 [14.23,14.29,14.38] [ 13.2, 20.9, 20.5] [ 11.7, 19.3, 19.1]

IPAIRNAMESHIFTNEWSHIFTS/N NAMESHIFTNEWSHIFTS/N
0 09100028 0.532 0.000 99.04 09100029 0.081 0.451 0.00
1 09100027 0.530 0.002 112.71 09100026 0.093 0.438 107.74
2 09100023 0.522 0.010 107.44 09100025 0.092 0.440 106.85
3 09100024 0.524 0.008 100.64 09100022 0.000 0.532 95.48

Visit (multiple exposure and dither combined) spectra

FrameZeropointsMag plots Spatial mag deviation Spatial sky 16325A emission deviations (filled: sky, open: star) Spatial sky continuum emission Spatial sky telluric CO2 absorption deviations (filled: H < 10)
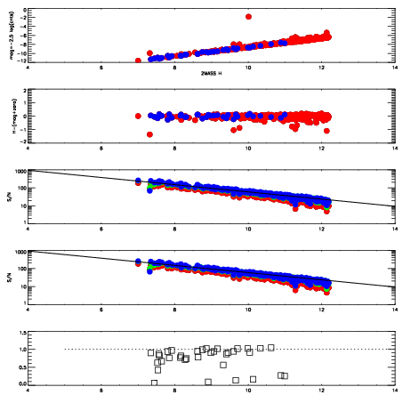
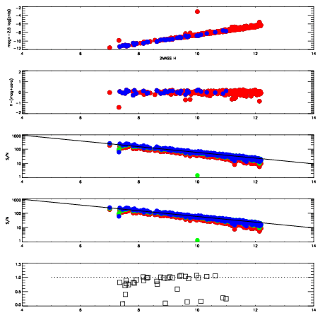
9100022
RedGreenBlue
z18.59
znorm14.41
sky 14.4 14.2 14.2
S/N 11.1 18.1 18.3
S/N(c) 10.0 16.9 17.0
SN(E/C) 0.89
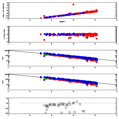
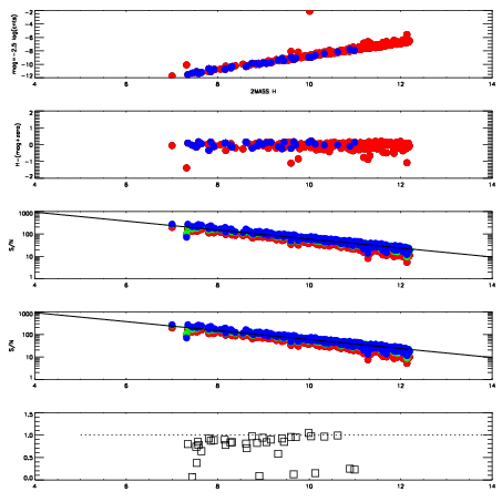
9100023
RedGreenBlue
z18.77
znorm14.59
sky 14.2 14.3 14.6
S/N 12.7 20.2 20.1
S/N(c) 11.6 18.9 18.6
SN(E/C) 0.84
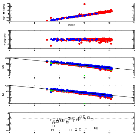
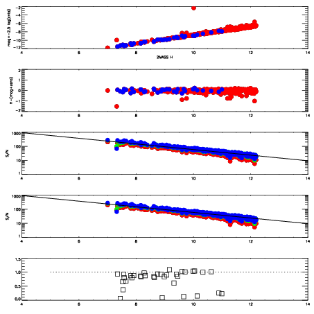
9100024
RedGreenBlue
z18.79
znorm14.61
sky 14.3 14.3 14.5
S/N 12.7 20.1 20.0
S/N(c) 11.4 19.0 18.9
SN(E/C) 0.86
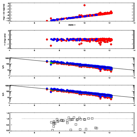
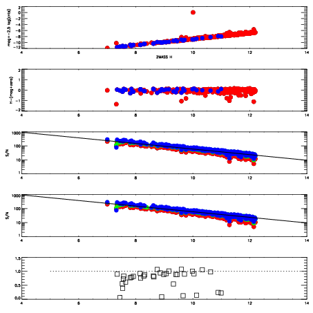
9100025
RedGreenBlue
z18.79
znorm14.61
sky 14.1 14.3 14.6
S/N 12.9 20.2 20.5
S/N(c) 11.6 18.6 19.0
SN(E/C) 0.84
9100026
RedGreenBlue
z18.83
znorm14.65
sky 14.3 14.3 14.4
S/N 13.3 21.0 20.6
S/N(c) 12.1 19.5 19.2
SN(E/C) 0.83
9100027
RedGreenBlue
z18.86
znorm14.68
sky 14.2 14.2 14.5
S/N 13.6 21.1 21.2
S/N(c) 12.2 19.7 19.8
SN(E/C) 0.83
9100028
RedGreenBlue
z18.61
znorm14.43
sky 14.1 14.2 14.4
S/N 11.3 18.6 18.3
S/N(c) 10.2 17.3 16.8
SN(E/C) 0.87
9100029
RedGreenBlue
z18.81
znorm14.63
sky 14.2 14.3 14.4
S/N 13.2 20.9 20.5
S/N(c) 11.7 19.3 19.1
SN(E/C) 0.84