PLATE: 5524 MJD: 56539 FIELD: 045+00

FrameCartsec zseeingNreadsDitherPixshiftZerosky continuumS/NS/N(c)
9770026 4 1.08 1.45 47 0.00 0.00 19.04 [14.47,14.05,13.86] [ 14.5, 21.0, 22.9] [ 13.0, 19.7, 21.8]
9770027 4 1.08 1.71 47 0.19 -0.00 19.02 [14.20,14.12,14.09] [ 14.1, 20.9, 22.3] [ 12.7, 19.5, 21.4]
9770028 4 1.08 1.62 47 0.19 0.00 19.01 [14.18,14.17,14.06] [ 14.4, 20.6, 22.0] [ 13.0, 19.3, 21.0]
9770029 4 1.08 1.72 47 -0.20 0.00 19.00 [14.38,14.17,14.07] [ 14.0, 20.4, 21.8] [ 12.6, 19.0, 21.0]
9770030 4 1.09 1.69 47 -0.19 -0.00 18.82 [14.40,14.23,14.21] [ 12.7, 18.8, 19.9] [ 11.3, 17.5, 18.9]
9770031 4 1.09 2.11 47 0.18 -0.00 18.92 [14.26,14.24,14.15] [ 13.7, 20.3, 20.7] [ 12.4, 18.7, 19.8]
9770032 4 1.10 1.67 47 0.18 0.00 18.92 [14.29,14.23,14.15] [ 13.7, 20.2, 20.8] [ 12.1, 18.6, 19.7]
9770033 4 1.11 2.06 47 -0.20 0.00 18.93 [14.34,14.36,14.18] [ 13.6, 20.1, 20.9] [ 12.2, 18.5, 19.8]

IPAIRNAMESHIFTNEWSHIFTS/N NAMESHIFTNEWSHIFTS/N
0 09770028 0.188 0.000 137.31 09770033 -0.199 0.387 132.64
1 09770027 0.186 0.002 141.79 09770029 -0.198 0.386 137.39
2 09770031 0.182 0.006 133.56 09770030 -0.193 0.381 126.88

Visit (multiple exposure and dither combined) spectra

FrameZeropointsMag plots Spatial mag deviation Spatial sky 16325A emission deviations (filled: sky, open: star) Spatial sky continuum emission Spatial sky telluric CO2 absorption deviations (filled: H < 10)
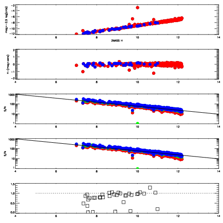
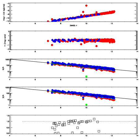
9770026
RedGreenBlue
z19.04
znorm14.86
sky 14.5 14.0 13.9
S/N 14.5 21.0 22.9
S/N(c) 13.0 19.7 21.8
SN(E/C) 0.84
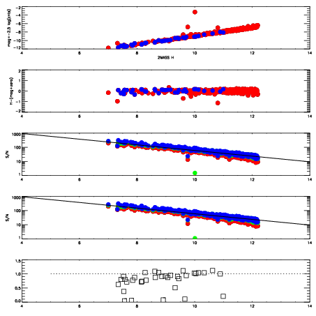
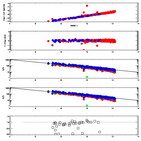
9770027
RedGreenBlue
z19.02
znorm14.84
sky 14.2 14.1 14.1
S/N 14.1 20.9 22.3
S/N(c) 12.7 19.5 21.4
SN(E/C) 0.83
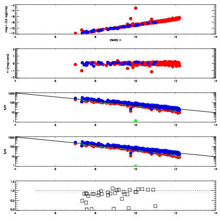
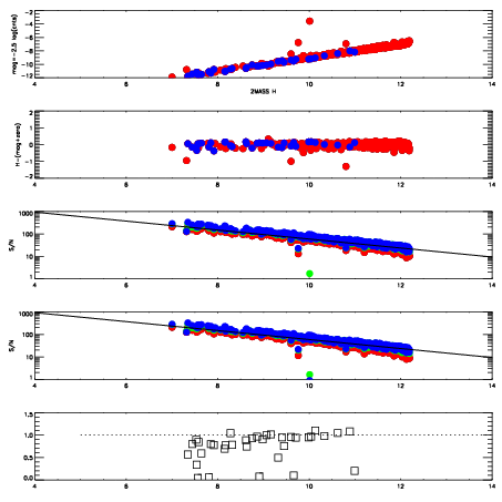
9770028
RedGreenBlue
z19.01
znorm14.83
sky 14.2 14.2 14.1
S/N 14.4 20.6 22.0
S/N(c) 13.0 19.3 21.0
SN(E/C) 0.85
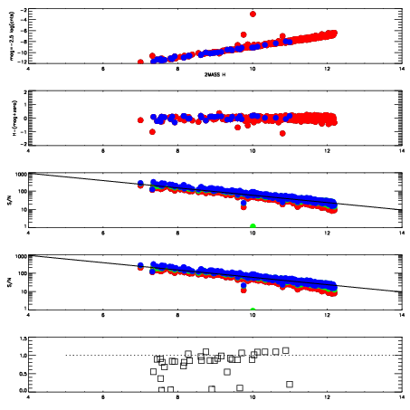
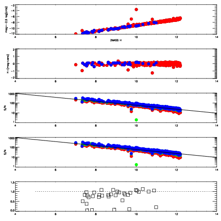
9770029
RedGreenBlue
z19.00
znorm14.82
sky 14.4 14.2 14.1
S/N 14.0 20.4 21.8
S/N(c) 12.6 19.0 21.0
SN(E/C) 0.88
9770030
RedGreenBlue
z18.82
znorm14.64
sky 14.4 14.2 14.2
S/N 12.7 18.8 19.9
S/N(c) 11.3 17.5 18.9
SN(E/C) 0.90
9770031
RedGreenBlue
z18.92
znorm14.74
sky 14.3 14.2 14.1
S/N 13.7 20.3 20.7
S/N(c) 12.4 18.7 19.8
SN(E/C) 0.87
9770032
RedGreenBlue
z18.92
znorm14.74
sky 14.3 14.2 14.1
S/N 13.7 20.2 20.8
S/N(c) 12.1 18.6 19.7
SN(E/C) 0.86
9770033
RedGreenBlue
z18.93
znorm14.75
sky 14.3 14.4 14.2
S/N 13.6 20.1 20.9
S/N(c) 12.2 18.5 19.8
SN(E/C) 0.84