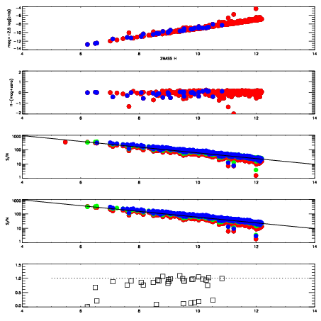
| Frame | Nreads | Zeropoints | Mag plots
| Spatial mag deviation
| Spatial sky 16325A emission deviations (filled: sky, open: star)
| Spatial sky continuum emission
| Spatial sky telluric CO2 absorption deviations (filled: H < 10)
|
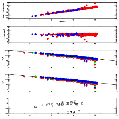
| 9040055
| 47
| | Red | Green | Blue
| | z | | 19.00
| | znorm | | 14.82
| | sky | 14.4 | 14.1 | 13.6
| | S/N | 15.4 | 23.7 | 22.6
| | S/N(c) | 13.3 | 21.1 | 22.8
| | SN(E/C) | 0.90
|
|
|
|
|
|
|
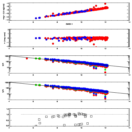
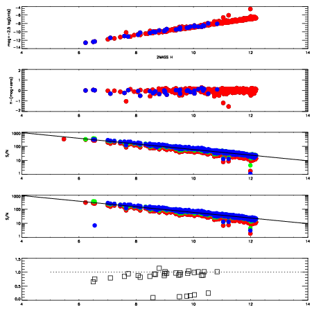
| 9040056
| 47
| | Red | Green | Blue
| | z | | 19.03
| | znorm | | 14.85
| | sky | 14.3 | 14.1 | 13.6
| | S/N | 15.4 | 24.2 | 23.0
| | S/N(c) | 13.5 | 22.0 | 23.1
| | SN(E/C) | 0.86
|
|
|
|
|
|
|
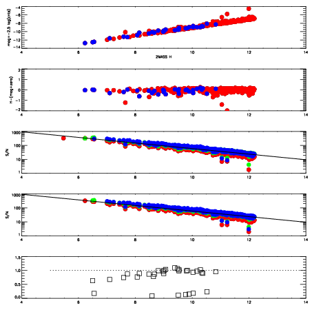
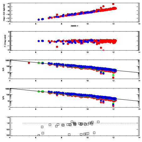
| 9040057
| 47
| | Red | Green | Blue
| | z | | 19.01
| | znorm | | 14.83
| | sky | 14.3 | 14.1 | 13.7
| | S/N | 15.3 | 23.8 | 23.4
| | S/N(c) | 13.2 | 21.8 | 22.6
| | SN(E/C) | 0.89
|
|
|
|
|
|
|
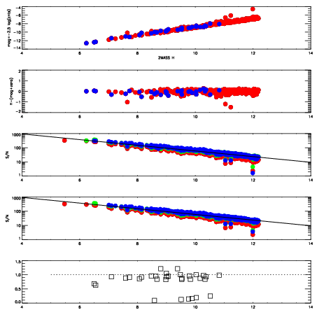
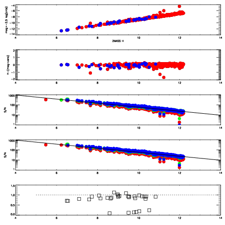
| 9040058
| 47
| | Red | Green | Blue
| | z | | 19.00
| | znorm | | 14.82
| | sky | 14.3 | 14.2 | 13.8
| | S/N | 15.3 | 24.0 | 23.3
| | S/N(c) | 13.2 | 21.7 | 22.8
| | SN(E/C) | 0.89
|
|
|
|
|
|
|
| 9040059
| 47
| | Red | Green | Blue
| | z | | 18.91
| | znorm | | 14.73
| | sky | 14.4 | 14.3 | 13.8
| | S/N | 14.6 | 22.9 | 22.3
| | S/N(c) | 12.3 | 20.6 | 21.9
| | SN(E/C) | 0.89
|
|
|
|
|
|
|
| 9040060
| 47
| | Red | Green | Blue
| | z | | 18.89
| | znorm | | 14.71
| | sky | 14.4 | 14.3 | 13.8
| | S/N | 14.6 | 22.9 | 22.4
| | S/N(c) | 12.5 | 20.4 | 21.7
| | SN(E/C) | 0.89
|
|
|
|
|
|
|
| 9040061
| 47
| | Red | Green | Blue
| | z | | 18.82
| | znorm | | 14.64
| | sky | 14.2 | 14.2 | 13.9
| | S/N | 13.9 | 21.8 | 21.5
| | S/N(c) | 11.8 | 19.4 | 20.9
| | SN(E/C) | 0.89
|
|
|
|
|
|
|
| 9040062
| 47
| | Red | Green | Blue
| | z | | 18.82
| | znorm | | 14.64
| | sky | 14.4 | 14.4 | 13.8
| | S/N | 14.0 | 22.1 | 21.4
| | S/N(c) | 11.8 | 19.6 | 20.7
| | SN(E/C) | 0.88
|
|
|
|
|
|
|