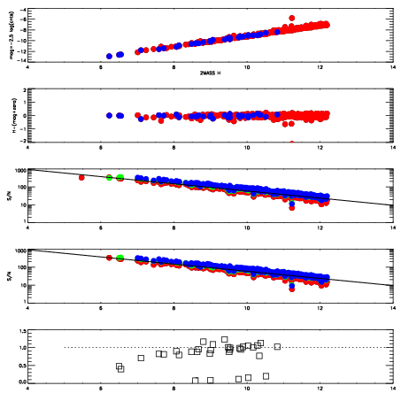
Left plots: red are targets, blue are telluric. Observed mags are calculated from median value of green chip. Zeropoint gives overall throughput: bigger number is more throughput.
First spatial plots: circles are objects, squares are tellurics, crosses are sky fibers. Colors give deviation of observed mag from expected 2MASS mag using the median zeropoint; red is brighter
Second spatial plots: circles are sky fibers. Colors give sky line brightness relative to plate median sky line brightness
FrameNreadsZeropointsMag plots Spatial mag deviation Spatial sky 16325A emission deviations (filled: sky, open: star) Spatial sky continuum emission Spatial sky telluric CO2 absorption deviations (filled: H < 10)
9980013 47
RedGreenBlue
z19.00
znorm14.82
sky 14.4 13.9 13.7
S/N 15.5 23.9 22.9
S/N(c) 13.8 22.3 21.7
SN(E/C) 0.90
9980014 47
RedGreenBlue
z19.13
znorm14.95
sky 14.3 14.1 13.9
S/N 16.4 25.6 24.3
S/N(c) 14.8 23.8 23.1
SN(E/C) 0.90
9980015 47
RedGreenBlue
z19.15
znorm14.97
sky 14.2 14.1 13.9
S/N 16.2 25.7 24.5
S/N(c) 14.6 24.0 23.4
SN(E/C) 0.90
9980016 47
RedGreenBlue
z19.15
znorm14.97
sky 14.3 14.1 14.0
S/N 16.4 25.2 24.5
S/N(c) 14.9 24.0 23.2
SN(E/C) 0.88