PLATE: 5526 MJD: 56467 FIELD: 090+12

FrameCartsec zseeingNreadsDitherPixshiftZerosky continuumS/NS/N(c)
9050036 5 1.09 1.21 47 0.00 0.00 18.76 [13.95,13.80,13.79] [ 13.5, 22.2, 22.6] [ 11.9, 20.0, 21.6]
9050037 5 1.09 1.24 47 0.51 0.00 18.67 [13.80,13.80,13.91] [ 12.3, 20.6, 21.7] [ 10.8, 18.6, 20.4]
9050038 5 1.09 1.25 47 0.51 0.00 18.90 [14.08,14.10,14.17] [ 14.7, 23.5, 25.1] [ 12.7, 21.6, 23.6]
9050039 5 1.09 1.27 47 0.06 0.00 19.03 [14.30,14.33,14.48] [ 15.9, 25.7, 27.2] [ 14.1, 23.7, 25.5]
9050040 5 1.09 1.18 47 0.07 0.00 18.90 [14.17,14.25,14.30] [ 14.6, 23.8, 25.6] [ 13.1, 21.7, 24.1]
9050041 5 1.09 1.18 47 0.52 -0.00 19.02 [14.22,14.20,14.34] [ 15.8, 25.6, 27.0] [ 14.0, 23.5, 25.3]
9050042 5 1.09 1.30 47 0.52 0.00 19.03 [14.23,14.31,14.37] [ 15.7, 25.5, 26.9] [ 14.1, 23.6, 25.4]
9050043 5 1.10 1.38 47 0.06 0.00 19.01 [14.25,14.38,14.50] [ 15.4, 25.2, 27.0] [ 13.9, 23.5, 25.5]

IPAIRNAMESHIFTNEWSHIFTS/N NAMESHIFTNEWSHIFTS/N
0 09050042 0.518 0.000 307.49 09050039 0.063 0.455 306.42
1 09050041 0.515 0.002 306.82 09050043 0.057 0.461 306.12
2 09050038 0.511 0.006 290.53 09050040 0.066 0.452 289.43
3 09050037 0.512 0.006 262.56 09050036 0.000 0.518 271.31

Visit (multiple exposure and dither combined) spectra

FrameZeropointsMag plots Spatial mag deviation Spatial sky 16325A emission deviations (filled: sky, open: star) Spatial sky continuum emission Spatial sky telluric CO2 absorption deviations (filled: H < 10)
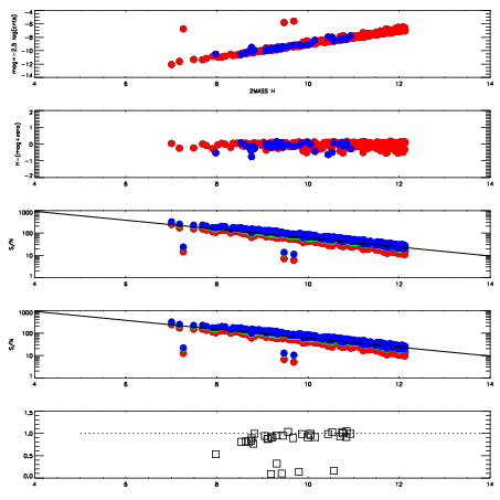
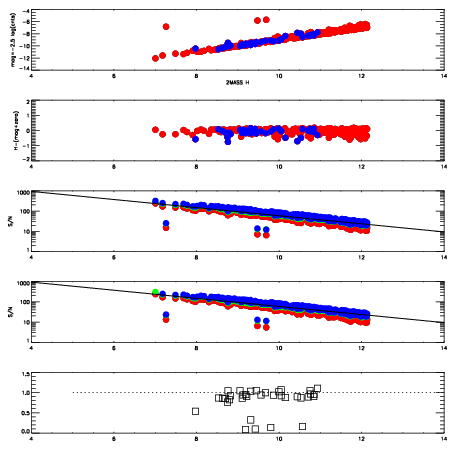
9050036
RedGreenBlue
z18.76
znorm14.58
sky 13.9 13.8 13.8
S/N 13.5 22.2 22.6
S/N(c) 11.9 20.0 21.6
SN(E/C) 0.95
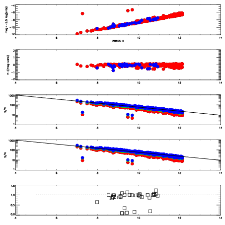
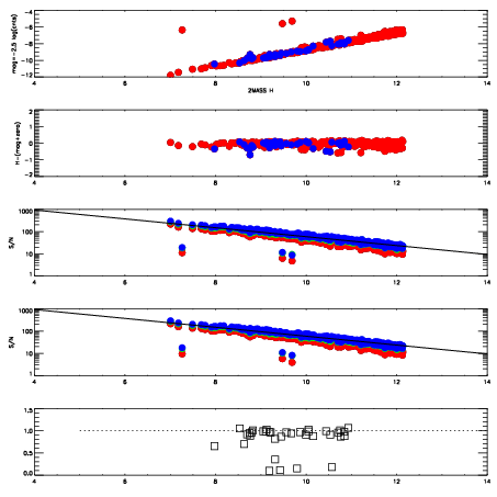
9050037
RedGreenBlue
z18.67
znorm14.49
sky 13.8 13.8 13.9
S/N 12.3 20.6 21.7
S/N(c) 10.8 18.6 20.4
SN(E/C) 0.96
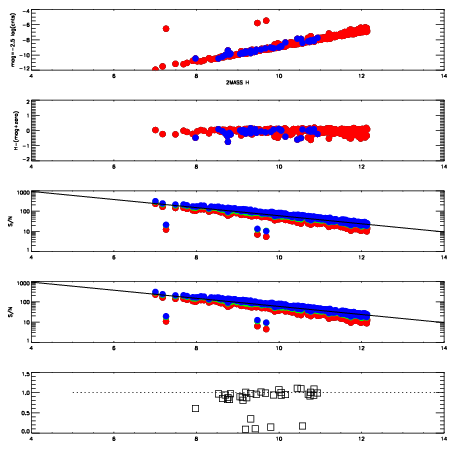
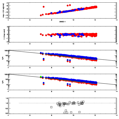
9050038
RedGreenBlue
z18.90
znorm14.72
sky 14.1 14.1 14.2
S/N 14.7 23.5 25.1
S/N(c) 12.7 21.6 23.6
SN(E/C) 0.93
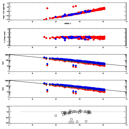
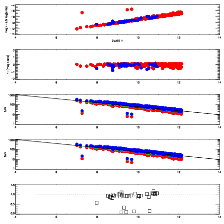
9050039
RedGreenBlue
z19.03
znorm14.85
sky 14.3 14.3 14.5
S/N 15.9 25.7 27.2
S/N(c) 14.1 23.7 25.5
SN(E/C) 0.94
9050040
RedGreenBlue
z18.90
znorm14.72
sky 14.2 14.2 14.3
S/N 14.6 23.8 25.6
S/N(c) 13.1 21.7 24.1
SN(E/C) 0.94
9050041
RedGreenBlue
z19.02
znorm14.84
sky 14.2 14.2 14.3
S/N 15.8 25.6 27.0
S/N(c) 14.0 23.5 25.3
SN(E/C) 0.92
9050042
RedGreenBlue
z19.03
znorm14.85
sky 14.2 14.3 14.4
S/N 15.7 25.5 26.9
S/N(c) 14.1 23.6 25.4
SN(E/C) 0.91
9050043
RedGreenBlue
z19.01
znorm14.83
sky 14.3 14.4 14.5
S/N 15.4 25.2 27.0
S/N(c) 13.9 23.5 25.5
SN(E/C) 0.90