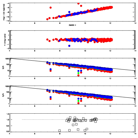
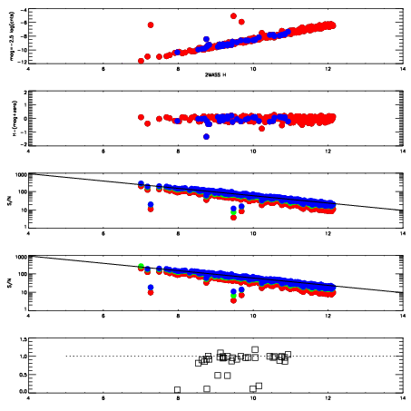
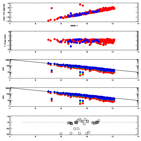
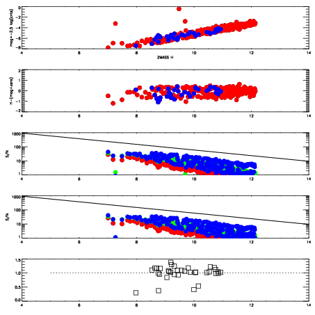
| Frame | Nreads | Zeropoints | Mag plots
| Spatial mag deviation
| Spatial sky 16325A emission deviations (filled: sky, open: star)
| Spatial sky continuum emission
| Spatial sky telluric CO2 absorption deviations (filled: H < 10)
|
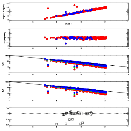
| 9090033
| 47
| | Red | Green | Blue
| | z | | 18.84
| | znorm | | 14.66
| | sky | 14.2 | 14.1 | 14.2
| | S/N | 14.4 | 23.2 | 24.6
| | S/N(c) | 12.8 | 22.0 | 23.4
| | SN(E/C) | 0.96
|
|
|
|
|
|
|
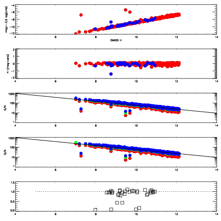
| 9090034
| 47
| | Red | Green | Blue
| | z | | 17.42
| | znorm | | 13.24
| | sky | 13.8 | 13.8 | 13.9
| | S/N | 4.4 | 8.6 | 9.9
| | S/N(c) | 3.8 | 7.8 | 9.1
| | SN(E/C) | 1.06
|
|
|
|
|
|
|
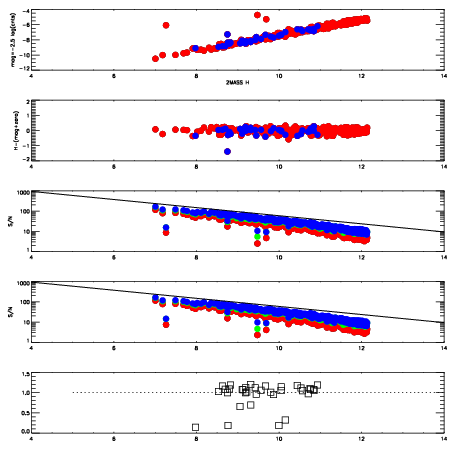
| 9090035
| 47
| | Red | Green | Blue
| | z | | 18.10
| | znorm | | 13.92
| | sky | 13.9 | 14.0 | 14.1
| | S/N | 8.1 | 14.4 | 16.3
| | S/N(c) | 7.0 | 13.2 | 14.7
| | SN(E/C) | 0.94
|
|
|
|
|
|
|
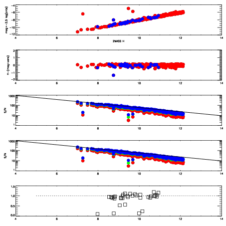
| 9090036
| 47
| | Red | Green | Blue
| | z | | 18.28
| | znorm | | 14.10
| | sky | 14.1 | 14.1 | 14.2
| | S/N | 9.2 | 16.0 | 17.8
| | S/N(c) | 8.0 | 14.7 | 16.2
| | SN(E/C) | 0.98
|
|
|
|
|
|
|
| 9090037
| 47
| | Red | Green | Blue
| | z | | 18.51
| | znorm | | 14.33
| | sky | 14.1 | 14.3 | 14.5
| | S/N | 10.9 | 18.6 | 20.3
| | S/N(c) | 9.7 | 17.4 | 19.0
| | SN(E/C) | 0.96
|
|
|
|
|
|
|
| 9090038
| 47
| | Red | Green | Blue
| | z | | 18.33
| | znorm | | 14.15
| | sky | 14.3 | 14.4 | 14.7
| | S/N | 9.9 | 16.7 | 18.7
| | S/N(c) | 8.5 | 15.8 | 17.3
| | SN(E/C) | 0.95
|
|
|
|
|
|
|
| 9090039
| 47
| | Red | Green | Blue
| | z | | 18.02
| | znorm | | 13.84
| | sky | 14.0 | 14.0 | 14.2
| | S/N | 7.4 | 13.4 | 15.1
| | S/N(c) | 6.6 | 12.5 | 14.2
| | SN(E/C) | 0.94
|
|
|
|
|
|
|
| 9090040
| 47
| | Red | Green | Blue
| | z | | 15.29
| | znorm | | 11.11
| | sky | 13.5 | 13.6 | 13.8
| | S/N | 0.4 | 1.4 | 1.1
| | S/N(c) | 0.5 | 1.4 | 1.9
| | SN(E/C) | 1.04
|
|
|
|
|
|
|