PLATE: 5526 MJD: 56544 FIELD: 090+12

FrameCartsec zseeingNreadsDitherPixshiftZerosky continuumS/NS/N(c)
9820022 8 1.10 1.73 47 0.00 -0.00 19.01 [14.81,14.39,14.56] [ 16.2, 24.7, 28.2] [ 14.9, 23.4, 26.9]
9820023 8 1.09 1.72 47 0.53 0.00 18.98 [14.70,14.49,14.81] [ 15.7, 24.4, 28.0] [ 14.3, 23.1, 26.5]
9820024 8 1.09 1.72 47 0.53 0.00 18.89 [14.77,14.62,14.89] [ 14.9, 22.9, 26.7] [ 13.5, 21.7, 25.3]
9820025 8 1.09 1.78 47 0.07 -0.00 18.99 [14.79,14.75,14.95] [ 16.0, 24.5, 28.2] [ 14.4, 23.1, 26.8]

IPAIRNAMESHIFTNEWSHIFTS/N NAMESHIFTNEWSHIFTS/N
0 09820024 0.529 0.000 307.55 09820025 0.071 0.459 321.43
1 09820023 0.528 0.002 318.42 09820022 0.000 0.529 322.96

Visit (multiple exposure and dither combined) spectra

FrameZeropointsMag plots Spatial mag deviation Spatial sky 16325A emission deviations (filled: sky, open: star) Spatial sky continuum emission Spatial sky telluric CO2 absorption deviations (filled: H < 10)
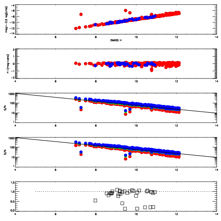
9820022
RedGreenBlue
z19.01
znorm14.83
sky 14.8 14.4 14.6
S/N 16.2 24.7 28.2
S/N(c) 14.9 23.4 26.9
SN(E/C) 0.94
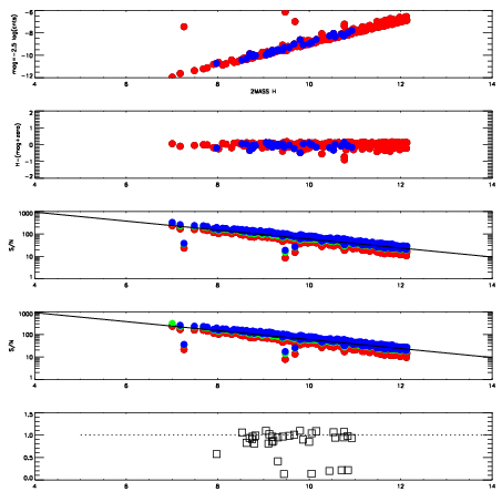
9820023
RedGreenBlue
z18.98
znorm14.80
sky 14.7 14.5 14.8
S/N 15.7 24.4 28.0
S/N(c) 14.3 23.1 26.5
SN(E/C) 0.95
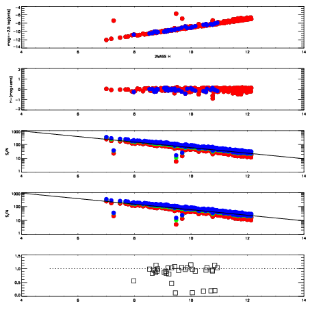
9820024
RedGreenBlue
z18.89
znorm14.71
sky 14.8 14.6 14.9
S/N 14.9 22.9 26.7
S/N(c) 13.5 21.7 25.3
SN(E/C) 0.94
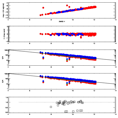
9820025
RedGreenBlue
z18.99
znorm14.81
sky 14.8 14.8 14.9
S/N 16.0 24.5 28.2
S/N(c) 14.4 23.1 26.8
SN(E/C) 0.93