Frame | Cart | sec z | seeing | Nreads | Dither | Pixshift | Zero | sky continuum | S/N | S/N(c) |
10010011 | 5 | 1.09 | 1.43 | 47 | 0.00 | -0.00 | 18.98 | [14.76,14.37,14.21] | [ 16.1, 26.4, 26.6] | [ 14.5, 24.9, 25.0] |
10010012 | 5 | 1.09 | 1.68 | 47 | 0.45 | -0.00 | 18.95 | [14.66,14.65,14.79] | [ 15.2, 25.2, 26.5] | [ 13.4, 23.4, 24.6] |
IPAIR | NAME | SHIFT | NEWSHIFT | S/N | NAME | SHIFT | NEWSHIFT | S/N |
0 | 10010012 | 0.446 | 0.000 | 310.82 | 10010011 | 0.000 | 0.446 | 316.66 |
Visit (multiple exposure and dither combined) spectra
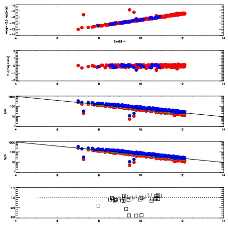
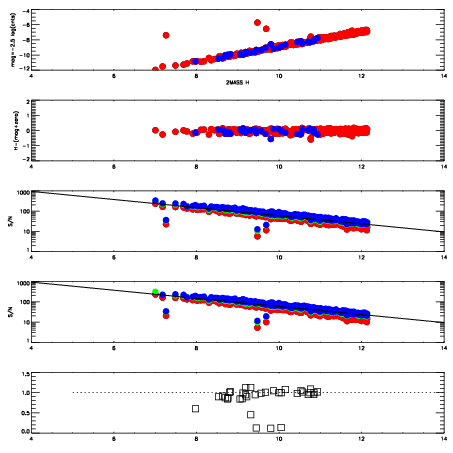
Frame | Zeropoints | Mag plots | Spatial mag deviation | Spatial sky 16325A emission deviations (filled: sky, open: star) | Spatial sky continuum emission | Spatial sky telluric CO2 absorption deviations (filled: H < 10) | ||||||||||||||||||||||||
10010011 |
| ![]() | ![]() | ![]() | ![]() | ![]() | ||||||||||||||||||||||||
10010012 |
| ![]() | ![]() | ![]() | ![]() | ![]() |