PLATE: 5527 MJD: 56611 FIELD: 090-12

FrameCartsec zseeingNreadsDitherPixshiftZerosky continuumS/NS/N(c)
10490028 9 1.03 1.50 47 0.00 -0.00 19.01 [14.91,14.48,14.52] [ 14.9, 24.3, 26.6] [ 13.4, 22.8, 25.0]
10490029 9 1.03 1.31 47 0.46 -0.00 18.81 [14.99,14.44,14.84] [ 13.2, 22.1, 24.7] [ 11.6, 20.5, 23.1]
10490030 9 1.04 1.33 47 0.45 0.00 19.01 [15.09,14.66,14.87] [ 14.9, 24.6, 27.2] [ 13.5, 22.8, 25.7]
10490031 9 1.05 1.54 47 0.03 -0.00 19.00 [14.93,14.64,14.84] [ 14.6, 24.4, 27.0] [ 13.2, 22.9, 25.4]
10490032 9 1.06 1.55 47 0.02 -0.00 19.01 [14.68,14.69,14.82] [ 14.8, 24.7, 27.1] [ 13.4, 23.0, 25.7]
10490033 9 1.07 1.51 47 0.44 -0.00 19.01 [15.14,14.62,14.85] [ 14.6, 24.8, 27.3] [ 13.2, 23.2, 25.5]
10490034 9 1.08 1.47 47 0.44 -0.00 18.98 [14.89,14.84,14.87] [ 14.4, 24.2, 26.3] [ 13.0, 22.8, 25.0]
10490035 9 1.10 1.41 47 0.02 -0.00 19.00 [14.80,14.78,15.09] [ 14.7, 24.6, 26.6] [ 13.6, 23.2, 25.2]

IPAIRNAMESHIFTNEWSHIFTS/N NAMESHIFTNEWSHIFTS/N
0 10490029 0.455 0.000 276.09 10490031 0.025 0.430 303.39
1 10490033 0.441 0.015 305.00 10490028 0.000 0.455 305.65
2 10490030 0.447 0.008 303.30 10490035 0.023 0.432 304.74
3 10490034 0.442 0.014 300.41 10490032 0.023 0.432 304.18

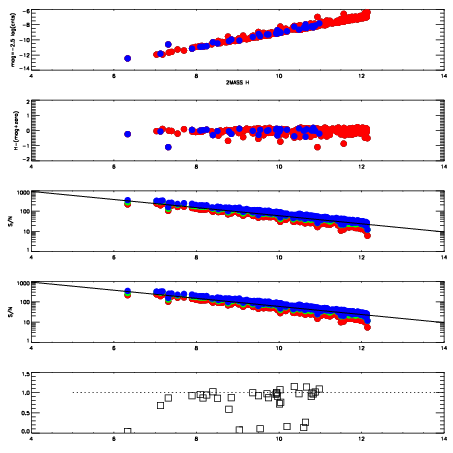
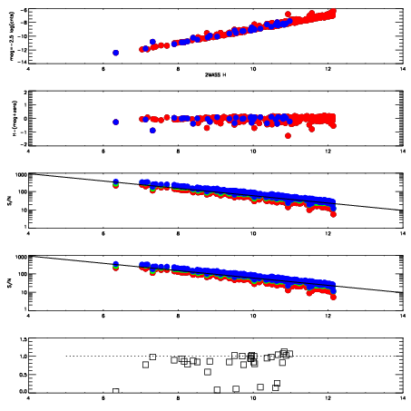
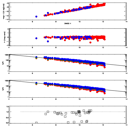
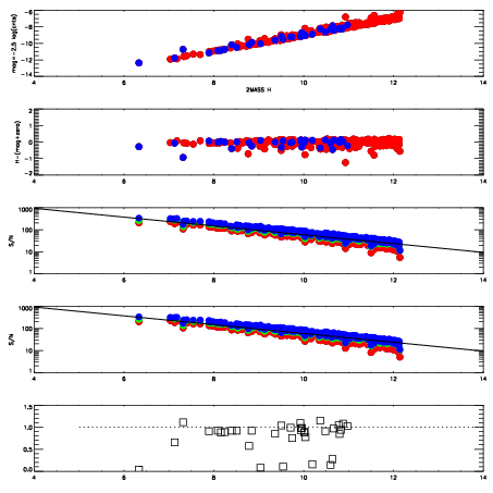
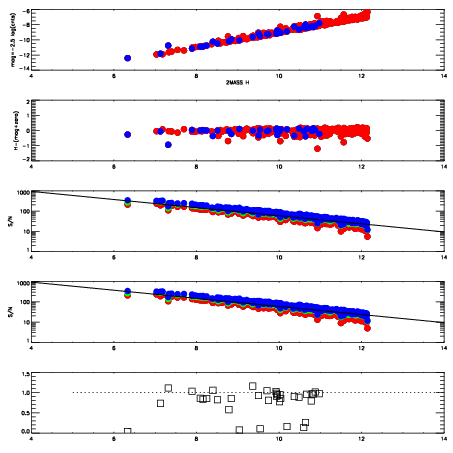
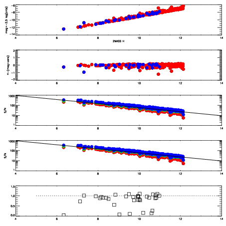
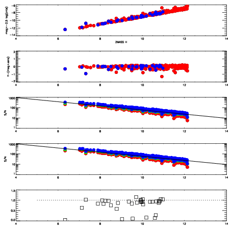
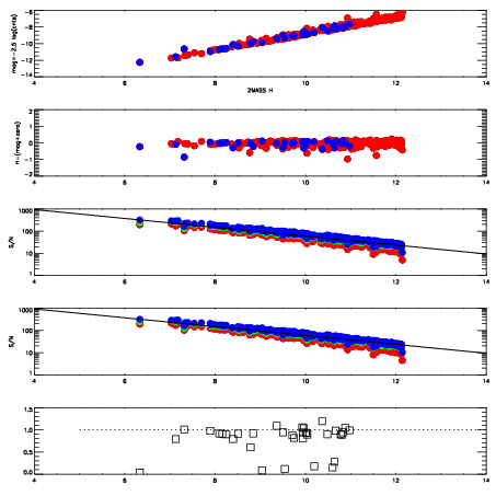
Visit (multiple exposure and dither combined) spectra

FrameZeropointsMag plots Spatial mag deviation Spatial sky 16325A emission deviations (filled: sky, open: star) Spatial sky continuum emission Spatial sky telluric CO2 absorption deviations (filled: H < 10)
10490028
RedGreenBlue
z19.01
znorm14.83
sky 14.9 14.5 14.5
S/N 14.9 24.3 26.6
S/N(c) 13.4 22.8 25.0
SN(E/C) 0.92
10490029
RedGreenBlue
z18.81
znorm14.63
sky 15.0 14.4 14.8
S/N 13.2 22.1 24.7
S/N(c) 11.6 20.5 23.1
SN(E/C) 0.91
10490030
RedGreenBlue
z19.01
znorm14.83
sky 15.1 14.7 14.9
S/N 14.9 24.6 27.2
S/N(c) 13.5 22.8 25.7
SN(E/C) 0.88
10490031
RedGreenBlue
z19.00
znorm14.82
sky 14.9 14.6 14.8
S/N 14.6 24.4 27.0
S/N(c) 13.2 22.9 25.4
SN(E/C) 0.91
10490032
RedGreenBlue
z19.01
znorm14.83
sky 14.7 14.7 14.8
S/N 14.8 24.7 27.1
S/N(c) 13.4 23.0 25.7
SN(E/C) 0.87
10490033
RedGreenBlue
z19.01
znorm14.83
sky 15.1 14.6 14.9
S/N 14.6 24.8 27.3
S/N(c) 13.2 23.2 25.5
SN(E/C) 0.90
10490034
RedGreenBlue
z18.98
znorm14.80
sky 14.9 14.8 14.9
S/N 14.4 24.2 26.3
S/N(c) 13.0 22.8 25.0
SN(E/C) 0.91
10490035
RedGreenBlue
z19.00
znorm14.82
sky 14.8 14.8 15.1
S/N 14.7 24.6 26.6
S/N(c) 13.6 23.2 25.2
SN(E/C) 0.92