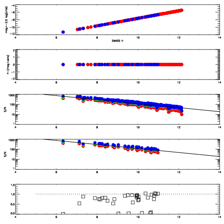
Left plots: red are targets, blue are telluric. Observed mags are calculated from median value of green chip. Zeropoint gives overall throughput: bigger number is more throughput.
First spatial plots: circles are objects, squares are tellurics, crosses are sky fibers. Colors give deviation of observed mag from expected 2MASS mag using the median zeropoint; red is brighter
Second spatial plots: circles are sky fibers. Colors give sky line brightness relative to plate median sky line brightness
FrameNreadsZeropointsMag plots Spatial mag deviation Spatial sky 16325A emission deviations (filled: sky, open: star) Spatial sky continuum emission Spatial sky telluric CO2 absorption deviations (filled: H < 10)
0 0
RedGreenBlue
z17.64
znorm Inf
sky -NaN -Inf -Inf
S/N 25.3 44.1 49.1
S/N(c) 0.0 0.0 0.0
SN(E/C) 0.81

IPAIRNAMESHIFTNEWSHIFTS/N NAMESHIFTNEWSHIFTS/N
0 10490029 0.455367 0.00000 276.087 10490031 0.0250790 0.430288 303.391
1 10490033 0.440675 0.0146920 304.999 10490028 0.00000 0.455367 305.654
2 10490030 0.447253 0.00811401 303.302 10490035 0.0228708 0.432496 304.741
3 10490034 0.441810 0.0135570 300.414 10490032 0.0232898 0.432077 304.184