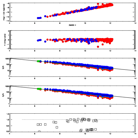
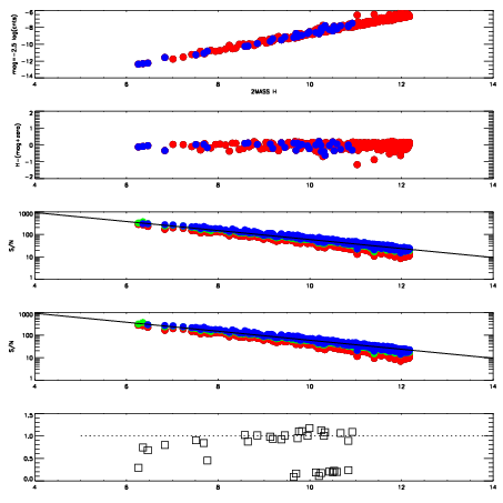
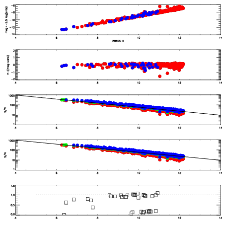
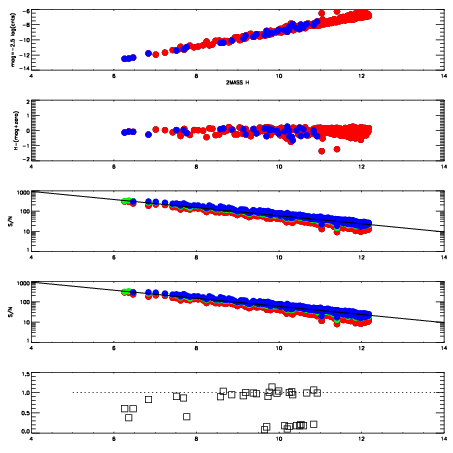
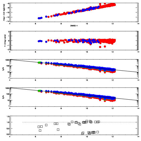
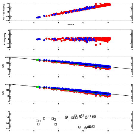
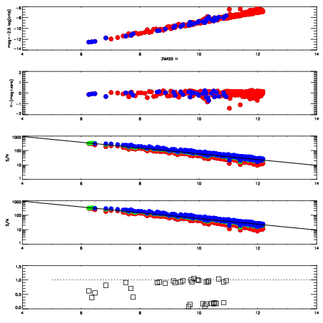
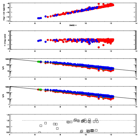
| Frame | Nreads | Zeropoints | Mag plots
| Spatial mag deviation
| Spatial sky 16325A emission deviations (filled: sky, open: star)
| Spatial sky continuum emission
| Spatial sky telluric CO2 absorption deviations (filled: H < 10)
|
| 3100032
| 47
| | Red | Green | Blue
| | z | | 18.98
| | znorm | | 14.80
| | sky | 14.7 | 14.4 | 14.5
| | S/N | 15.2 | 23.4 | 26.2
| | S/N(c) | 13.2 | 21.4 | 24.0
| | SN(E/C) | 0.82
|
|
|
|
|
|
|
| 3100033
| 47
| | Red | Green | Blue
| | z | | 19.01
| | znorm | | 14.83
| | sky | 14.5 | 14.3 | 14.3
| | S/N | 15.1 | 23.6 | 26.0
| | S/N(c) | 13.5 | 21.8 | 24.1
| | SN(E/C) | 0.87
|
|
|
|
|
|
|
| 3100034
| 47
| | Red | Green | Blue
| | z | | 19.01
| | znorm | | 14.83
| | sky | 14.5 | 14.4 | 14.4
| | S/N | 15.3 | 23.6 | 25.7
| | S/N(c) | 13.2 | 21.7 | 23.8
| | SN(E/C) | 0.89
|
|
|
|
|
|
|
| 3100035
| 47
| | Red | Green | Blue
| | z | | 18.74
| | znorm | | 14.56
| | sky | 14.9 | 14.6 | 14.5
| | S/N | 12.9 | 20.8 | 22.4
| | S/N(c) | 11.3 | 18.7 | 20.3
| | SN(E/C) | 0.89
|
|
|
|
|
|
|
| 3100036
| 47
| | Red | Green | Blue
| | z | | 18.92
| | znorm | | 14.74
| | sky | 14.7 | 14.6 | 14.5
| | S/N | 14.3 | 22.9 | 24.3
| | S/N(c) | 12.5 | 20.9 | 22.5
| | SN(E/C) | 0.90
|
|
|
|
|
|
|
| 3100037
| 47
| | Red | Green | Blue
| | z | | 18.87
| | znorm | | 14.69
| | sky | 14.8 | 14.5 | 14.4
| | S/N | 14.0 | 22.3 | 23.6
| | S/N(c) | 12.2 | 20.4 | 21.8
| | SN(E/C) | 0.87
|
|
|
|
|
|
|
| 3100038
| 47
| | Red | Green | Blue
| | z | | 18.89
| | znorm | | 14.71
| | sky | 15.0 | 14.5 | 14.6
| | S/N | 13.9 | 22.4 | 23.7
| | S/N(c) | 12.2 | 20.4 | 21.6
| | SN(E/C) | 0.90
|
|
|
|
|
|
|
| 3100039
| 47
| | Red | Green | Blue
| | z | | 18.87
| | znorm | | 14.69
| | sky | 14.7 | 14.5 | 14.5
| | S/N | 13.7 | 22.2 | 23.0
| | S/N(c) | 12.0 | 20.2 | 21.4
| | SN(E/C) | 0.86
|
|
|
|
|
|
|