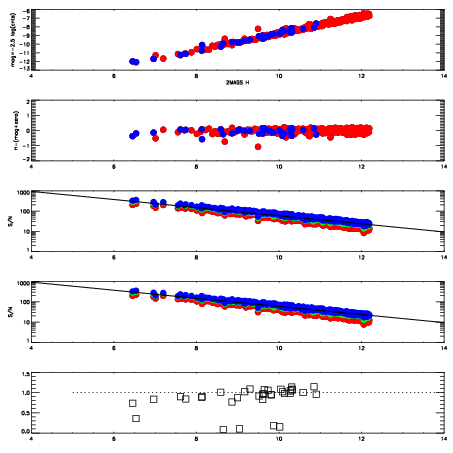
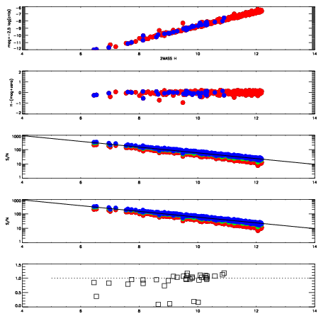
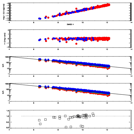
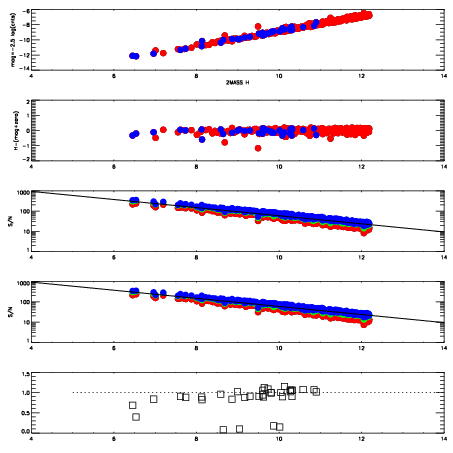
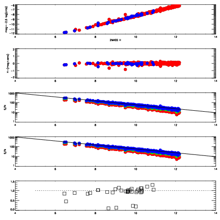
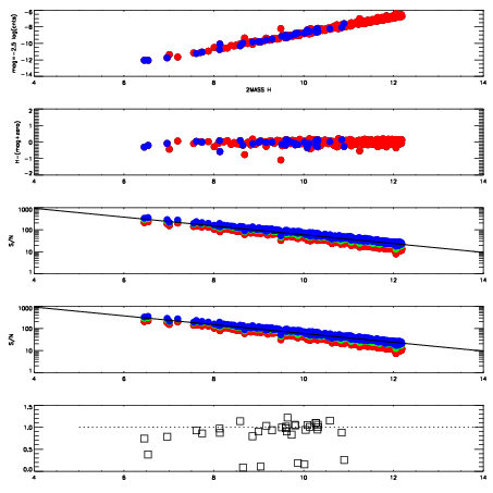
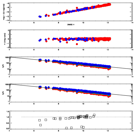
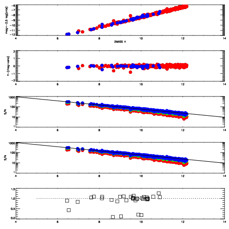
| Frame | Nreads | Zeropoints | Mag plots
| Spatial mag deviation
| Spatial sky 16325A emission deviations (filled: sky, open: star)
| Spatial sky continuum emission
| Spatial sky telluric CO2 absorption deviations (filled: H < 10)
|
| 2820057
| 47
| | Red | Green | Blue
| | z | | 18.34
| | znorm | | 14.16
| | sky | 15.1 | 14.6 | 15.1
| | S/N | 9.8 | 16.7 | 19.2
| | S/N(c) | 8.4 | 15.6 | 17.4
| | SN(E/C) | 0.96
|
|
|
|
|
|
|
| 2820058
| 47
| | Red | Green | Blue
| | z | | 18.44
| | znorm | | 14.26
| | sky | 15.1 | 14.7 | 15.2
| | S/N | 10.4 | 17.9 | 19.8
| | S/N(c) | 9.0 | 16.7 | 18.3
| | SN(E/C) | 0.99
|
|
|
|
|
|
|
| 2820059
| 47
| | Red | Green | Blue
| | z | | 18.71
| | znorm | | 14.53
| | sky | 14.9 | 14.7 | 15.1
| | S/N | 12.6 | 21.3 | 22.6
| | S/N(c) | 11.1 | 19.6 | 21.0
| | SN(E/C) | 0.97
|
|
|
|
|
|
|
| 2820060
| 47
| | Red | Green | Blue
| | z | | 18.80
| | znorm | | 14.62
| | sky | 14.7 | 14.6 | 15.0
| | S/N | 13.3 | 22.3 | 23.7
| | S/N(c) | 11.9 | 20.5 | 22.1
| | SN(E/C) | 0.94
|
|
|
|
|
|
|
| 2820061
| 47
| | Red | Green | Blue
| | z | | 18.89
| | znorm | | 14.71
| | sky | 15.0 | 14.7 | 15.0
| | S/N | 14.1 | 23.5 | 24.5
| | S/N(c) | 12.6 | 21.8 | 23.0
| | SN(E/C) | 0.91
|
|
|
|
|
|
|
| 2820062
| 47
| | Red | Green | Blue
| | z | | 18.93
| | znorm | | 14.75
| | sky | 15.0 | 14.6 | 14.9
| | S/N | 14.6 | 23.9 | 25.1
| | S/N(c) | 13.0 | 22.2 | 23.5
| | SN(E/C) | 0.94
|
|
|
|
|
|
|
| 2820063
| 47
| | Red | Green | Blue
| | z | | 18.80
| | znorm | | 14.62
| | sky | 14.8 | 14.9 | 15.1
| | S/N | 13.4 | 22.1 | 23.6
| | S/N(c) | 11.8 | 20.7 | 21.9
| | SN(E/C) | 0.95
|
|
|
|
|
|
|
| 2820064
| 47
| | Red | Green | Blue
| | z | | 18.88
| | znorm | | 14.70
| | sky | 14.9 | 14.8 | 15.0
| | S/N | 14.1 | 23.2 | 24.8
| | S/N(c) | 12.6 | 21.7 | 23.0
| | SN(E/C) | 0.95
|
|
|
|
|
|
|