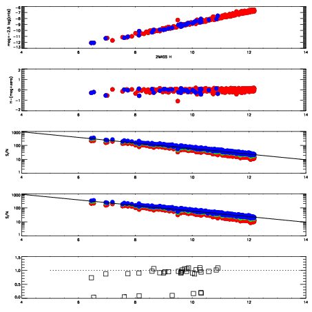
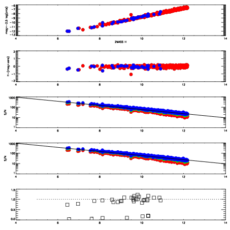
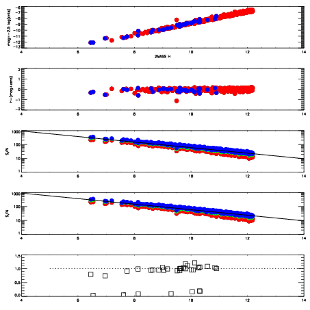
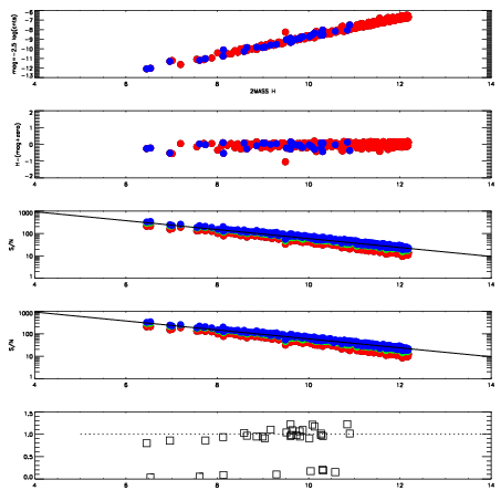
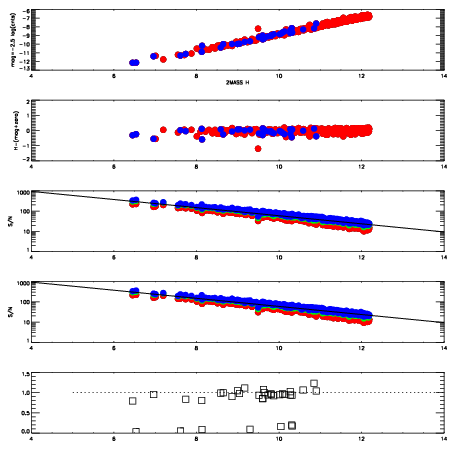
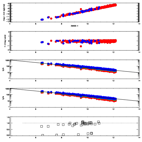
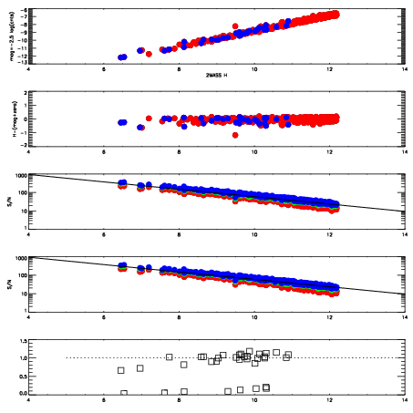
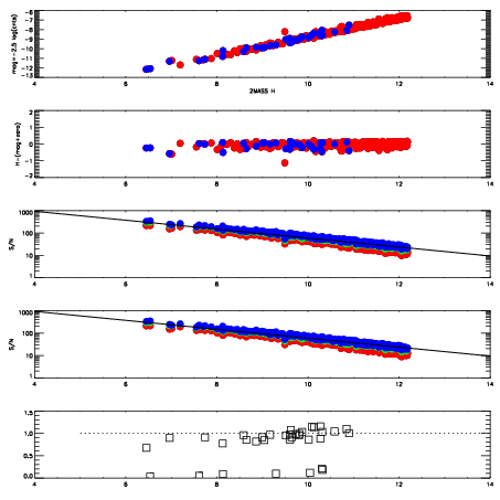
| Frame | Nreads | Zeropoints | Mag plots
| Spatial mag deviation
| Spatial sky 16325A emission deviations (filled: sky, open: star)
| Spatial sky continuum emission
| Spatial sky telluric CO2 absorption deviations (filled: H < 10)
|
| 3090045
| 47
| | Red | Green | Blue
| | z | | 18.79
| | znorm | | 14.61
| | sky | 15.0 | 14.8 | 14.9
| | S/N | 13.2 | 21.9 | 23.8
| | S/N(c) | 11.6 | 20.3 | 22.2
| | SN(E/C) | 0.95
|
|
|
|
|
|
|
| 3090046
| 47
| | Red | Green | Blue
| | z | | 18.86
| | znorm | | 14.68
| | sky | 15.0 | 14.8 | 15.2
| | S/N | 13.4 | 22.7 | 24.0
| | S/N(c) | 11.9 | 20.9 | 22.5
| | SN(E/C) | 0.96
|
|
|
|
|
|
|
| 3090047
| 47
| | Red | Green | Blue
| | z | | 18.90
| | znorm | | 14.72
| | sky | 15.0 | 14.8 | 15.1
| | S/N | 14.1 | 23.0 | 24.8
| | S/N(c) | 12.2 | 21.2 | 23.2
| | SN(E/C) | 0.94
|
|
|
|
|
|
|
| 3090048
| 47
| | Red | Green | Blue
| | z | | 18.82
| | znorm | | 14.64
| | sky | 15.0 | 14.9 | 15.1
| | S/N | 13.2 | 21.8 | 23.4
| | S/N(c) | 11.5 | 20.0 | 21.8
| | SN(E/C) | 0.94
|
|
|
|
|
|
|
| 3090049
| 47
| | Red | Green | Blue
| | z | | 18.78
| | znorm | | 14.60
| | sky | 14.9 | 14.9 | 15.2
| | S/N | 12.8 | 21.4 | 22.8
| | S/N(c) | 11.3 | 19.8 | 21.1
| | SN(E/C) | 0.96
|
|
|
|
|
|
|
| 3090050
| 47
| | Red | Green | Blue
| | z | | 18.89
| | znorm | | 14.71
| | sky | 14.8 | 15.0 | 15.1
| | S/N | 13.4 | 22.5 | 24.1
| | S/N(c) | 11.7 | 20.9 | 22.6
| | SN(E/C) | 1.00
|
|
|
|
|
|
|
| 3090051
| 47
| | Red | Green | Blue
| | z | | 18.89
| | znorm | | 14.71
| | sky | 14.9 | 14.9 | 15.1
| | S/N | 13.5 | 22.1 | 24.0
| | S/N(c) | 11.8 | 20.4 | 22.3
| | SN(E/C) | 0.91
|
|
|
|
|
|
|
| 3090052
| 47
| | Red | Green | Blue
| | z | | 18.83
| | znorm | | 14.65
| | sky | 15.1 | 14.8 | 15.1
| | S/N | 13.2 | 21.9 | 23.3
| | S/N(c) | 11.6 | 20.2 | 21.9
| | SN(E/C) | 0.91
|
|
|
|
|
|
|