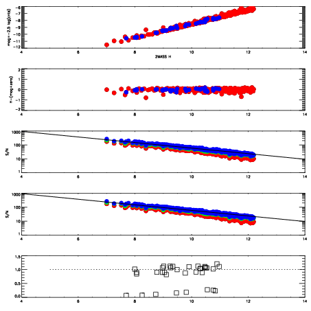
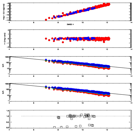
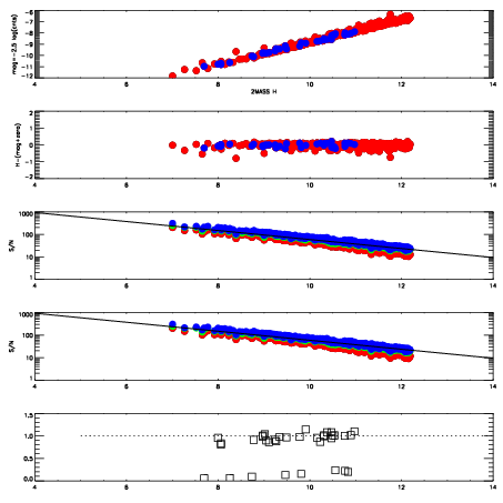
| Frame | Nreads | Zeropoints | Mag plots
| Spatial mag deviation
| Spatial sky 16325A emission deviations (filled: sky, open: star)
| Spatial sky continuum emission
| Spatial sky telluric CO2 absorption deviations (filled: H < 10)
|
| 3070056
| 47
| | Red | Green | Blue
| | z | | 18.29
| | znorm | | 14.11
| | sky | 14.8 | 14.6 | 14.6
| | S/N | 8.7 | 15.4 | 17.4
| | S/N(c) | 7.4 | 14.4 | 16.0
| | SN(E/C) | 0.98
|
|
|
|
|
|
|
| 3070057
| 47
| | Red | Green | Blue
| | z | | 18.84
| | znorm | | 14.66
| | sky | 15.0 | 14.6 | 15.0
| | S/N | 12.7 | 21.4 | 23.6
| | S/N(c) | 11.5 | 19.9 | 22.6
| | SN(E/C) | 0.95
|
|
|
|
|
|
|
| 3070058
| 47
| | Red | Green | Blue
| | z | | 18.79
| | znorm | | 14.61
| | sky | 15.5 | 14.7 | 15.0
| | S/N | 12.2 | 21.0 | 22.9
| | S/N(c) | 10.9 | 19.5 | 21.7
| | SN(E/C) | 0.95
|
|
|
|
|
|
|
| 3070059
| 47
| | Red | Green | Blue
| | z | | 18.67
| | znorm | | 14.49
| | sky | 14.7 | 14.9 | 15.1
| | S/N | 11.0 | 19.4 | 21.5
| | S/N(c) | 9.9 | 17.9 | 20.1
| | SN(E/C) | 0.97
|
|
|
|
|
|
|
| 3070060
| 47
| | Red | Green | Blue
| | z | | 18.84
| | znorm | | 14.66
| | sky | 14.6 | 14.8 | 15.2
| | S/N | 12.6 | 21.8 | 23.3
| | S/N(c) | 11.4 | 20.4 | 22.3
| | SN(E/C) | 0.95
|
|
|
|
|
|
|
| 3070061
| 47
| | Red | Green | Blue
| | z | | 18.55
| | znorm | | 14.37
| | sky | 14.9 | 14.9 | 15.3
| | S/N | 10.1 | 18.4 | 19.9
| | S/N(c) | 8.8 | 17.1 | 18.8
| | SN(E/C) | 1.00
|
|
|
|
|
|
|
| 3070062
| 47
| | Red | Green | Blue
| | z | | 18.52
| | znorm | | 14.34
| | sky | 14.7 | 15.1 | 15.1
| | S/N | 10.0 | 17.8 | 19.7
| | S/N(c) | 8.9 | 16.7 | 18.6
| | SN(E/C) | 0.99
|
|
|
|
|
|
|
| 3070063
| 47
| | Red | Green | Blue
| | z | | 18.71
| | znorm | | 14.53
| | sky | 14.9 | 15.1 | 15.2
| | S/N | 11.4 | 20.0 | 21.7
| | S/N(c) | 10.2 | 18.4 | 20.4
| | SN(E/C) | 0.95
|
|
|
|
|
|
|