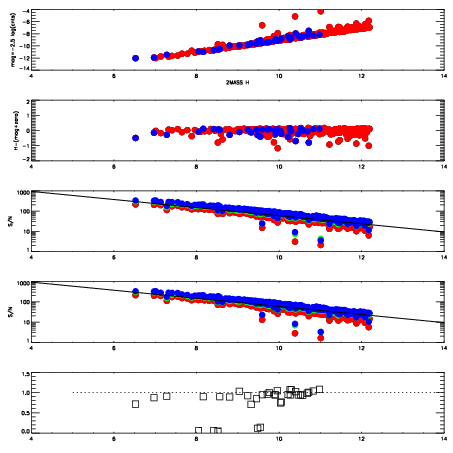
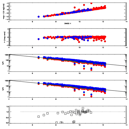
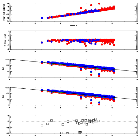
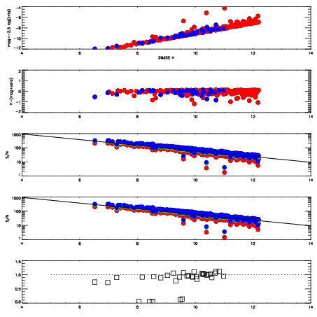
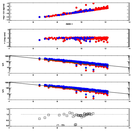
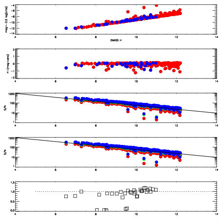
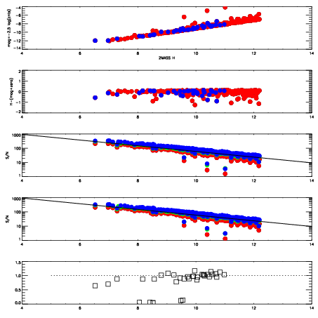
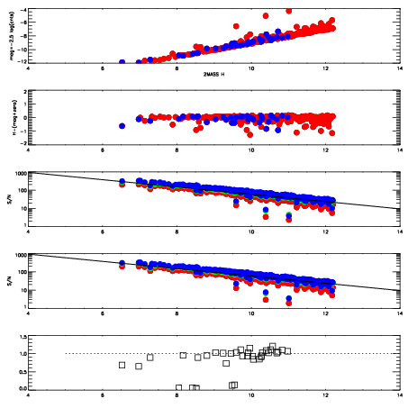
| Frame | Nreads | Zeropoints | Mag plots
| Spatial mag deviation
| Spatial sky 16325A emission deviations (filled: sky, open: star)
| Spatial sky continuum emission
| Spatial sky telluric CO2 absorption deviations (filled: H < 10)
|
| 2900058
| 47
| | Red | Green | Blue
| | z | | 19.06
| | znorm | | 14.88
| | sky | 15.4 | 14.8 | 14.8
| | S/N | 16.1 | 25.4 | 29.2
| | S/N(c) | 14.5 | 24.1 | 27.8
| | SN(E/C) | 0.94
|
|
|
|
|
|
|
| 2900059
| 47
| | Red | Green | Blue
| | z | | 19.05
| | znorm | | 14.87
| | sky | 15.2 | 14.7 | 15.0
| | S/N | 16.0 | 25.3 | 28.9
| | S/N(c) | 14.6 | 23.9 | 27.5
| | SN(E/C) | 0.93
|
|
|
|
|
|
|
| 2900060
| 47
| | Red | Green | Blue
| | z | | 19.04
| | znorm | | 14.86
| | sky | 15.0 | 14.7 | 15.0
| | S/N | 16.0 | 25.2 | 28.7
| | S/N(c) | 14.1 | 23.7 | 27.3
| | SN(E/C) | 0.94
|
|
|
|
|
|
|
| 2900061
| 47
| | Red | Green | Blue
| | z | | 19.04
| | znorm | | 14.86
| | sky | 15.0 | 14.9 | 15.0
| | S/N | 15.8 | 25.5 | 28.6
| | S/N(c) | 14.2 | 23.8 | 27.1
| | SN(E/C) | 0.94
|
|
|
|
|
|
|
| 2900062
| 47
| | Red | Green | Blue
| | z | | 19.00
| | znorm | | 14.82
| | sky | 14.9 | 14.9 | 15.1
| | S/N | 15.5 | 24.8 | 28.0
| | S/N(c) | 13.9 | 23.1 | 26.4
| | SN(E/C) | 0.94
|
|
|
|
|
|
|
| 2900063
| 47
| | Red | Green | Blue
| | z | | 19.06
| | znorm | | 14.88
| | sky | 15.0 | 14.9 | 15.2
| | S/N | 16.1 | 25.6 | 28.6
| | S/N(c) | 14.2 | 23.9 | 27.0
| | SN(E/C) | 0.96
|
|
|
|
|
|
|
| 2900064
| 47
| | Red | Green | Blue
| | z | | 19.06
| | znorm | | 14.88
| | sky | 14.9 | 15.0 | 15.0
| | S/N | 16.2 | 25.3 | 28.5
| | S/N(c) | 14.5 | 23.7 | 27.0
| | SN(E/C) | 0.98
|
|
|
|
|
|
|
| 2900065
| 47
| | Red | Green | Blue
| | z | | 19.00
| | znorm | | 14.82
| | sky | 15.2 | 15.0 | 15.1
| | S/N | 15.6 | 24.8 | 27.7
| | S/N(c) | 13.9 | 23.2 | 26.2
| | SN(E/C) | 0.94
|
|
|
|
|
|
|