PLATE: 5532 MJD: 56235 FIELD: 180+12

FrameCartsec zseeingNreadsDitherPixshiftZerosky continuumS/NS/N(c)
6730070 8 1.01 0.96 47 0.00 0.00 19.19 [14.98,14.52,14.51] [ 15.7, 25.9, 30.9] [ 14.0, 24.5, 29.4]
6730071 8 1.02 1.01 47 0.36 0.00 19.19 [14.59,14.41,14.79] [ 15.6, 26.1, 30.8] [ 14.0, 24.4, 29.1]
6730072 8 1.02 0.99 47 0.36 0.00 19.20 [14.52,14.46,14.66] [ 15.9, 26.4, 31.1] [ 14.4, 24.7, 29.5]
6730073 8 1.03 1.01 47 0.00 0.00 19.21 [14.85,14.52,14.69] [ 15.7, 26.2, 30.8] [ 14.3, 24.5, 29.3]
6730074 8 1.04 0.98 47 0.00 -0.00 19.22 [14.81,14.56,14.62] [ 16.0, 26.4, 30.7] [ 14.6, 24.8, 29.3]
6730075 8 1.05 0.96 47 0.35 -0.00 19.22 [14.73,14.54,14.66] [ 16.4, 26.9, 30.7] [ 14.9, 25.1, 29.3]
6730076 8 1.06 0.92 47 0.36 -0.00 19.21 [14.65,14.50,14.73] [ 16.1, 26.5, 30.0] [ 14.5, 25.1, 28.6]
6730077 8 1.07 0.97 47 -0.00 0.00 19.22 [14.56,14.59,14.62] [ 16.3, 26.9, 30.4] [ 14.9, 25.1, 29.0]

IPAIRNAMESHIFTNEWSHIFTS/N NAMESHIFTNEWSHIFTS/N
0 06730076 0.358 0.000 308.14 06730077 -0.000 0.358 307.97
1 06730075 0.351 0.007 308.23 06730074 0.005 0.353 309.66
2 06730072 0.357 0.001 306.84 06730073 0.003 0.355 307.62
3 06730071 0.357 0.001 305.81 06730070 0.000 0.358 305.69

Visit (multiple exposure and dither combined) spectra

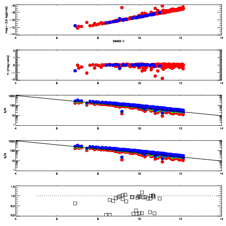
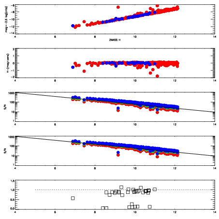
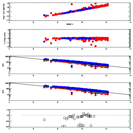
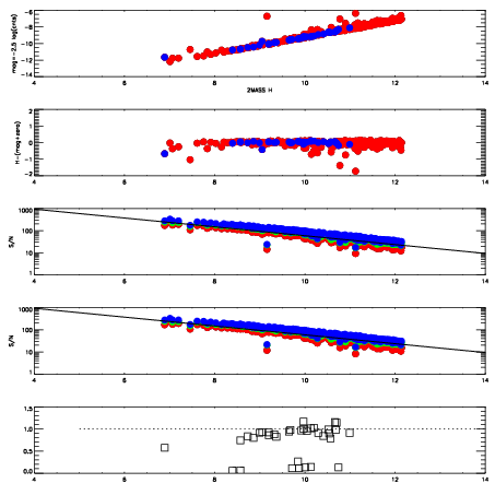
FrameZeropointsMag plots Spatial mag deviation Spatial sky 16325A emission deviations (filled: sky, open: star) Spatial sky continuum emission Spatial sky telluric CO2 absorption deviations (filled: H < 10)
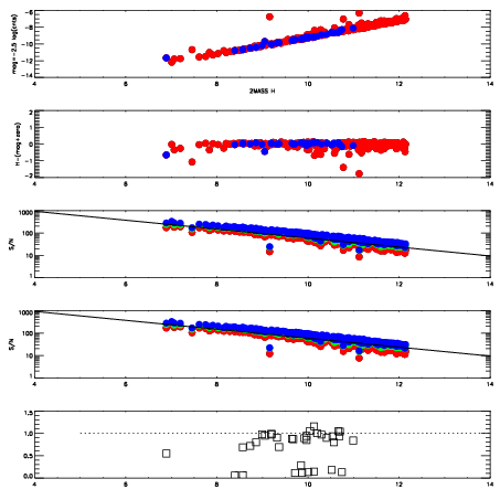
6730070
RedGreenBlue
z19.19
znorm15.01
sky 15.0 14.5 14.5
S/N 15.7 25.9 30.9
S/N(c) 14.0 24.5 29.4
SN(E/C) 0.88
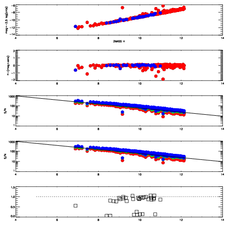
6730071
RedGreenBlue
z19.19
znorm15.01
sky 14.6 14.4 14.8
S/N 15.6 26.1 30.8
S/N(c) 14.0 24.4 29.1
SN(E/C) 0.88
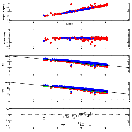
6730072
RedGreenBlue
z19.20
znorm15.02
sky 14.5 14.5 14.7
S/N 15.9 26.4 31.1
S/N(c) 14.4 24.7 29.5
SN(E/C) 0.87
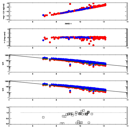
6730073
RedGreenBlue
z19.21
znorm15.03
sky 14.8 14.5 14.7
S/N 15.7 26.2 30.8
S/N(c) 14.3 24.5 29.3
SN(E/C) 0.90
6730074
RedGreenBlue
z19.22
znorm15.04
sky 14.8 14.6 14.6
S/N 16.0 26.4 30.7
S/N(c) 14.6 24.8 29.3
SN(E/C) 0.87
6730075
RedGreenBlue
z19.22
znorm15.04
sky 14.7 14.5 14.7
S/N 16.4 26.9 30.7
S/N(c) 14.9 25.1 29.3
SN(E/C) 0.88
6730076
RedGreenBlue
z19.21
znorm15.03
sky 14.6 14.5 14.7
S/N 16.1 26.5 30.0
S/N(c) 14.5 25.1 28.6
SN(E/C) 0.86
6730077
RedGreenBlue
z19.22
znorm15.04
sky 14.6 14.6 14.6
S/N 16.3 26.9 30.4
S/N(c) 14.9 25.1 29.0
SN(E/C) 0.88