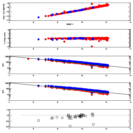
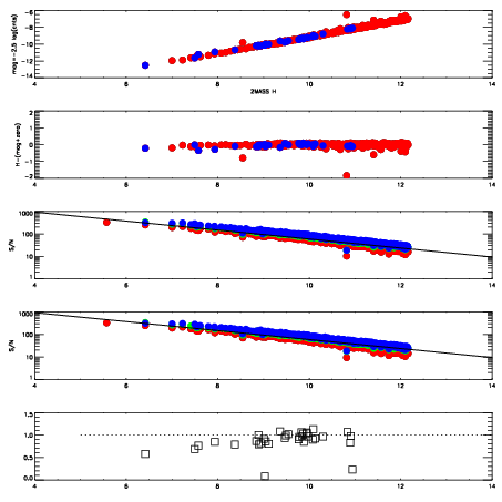
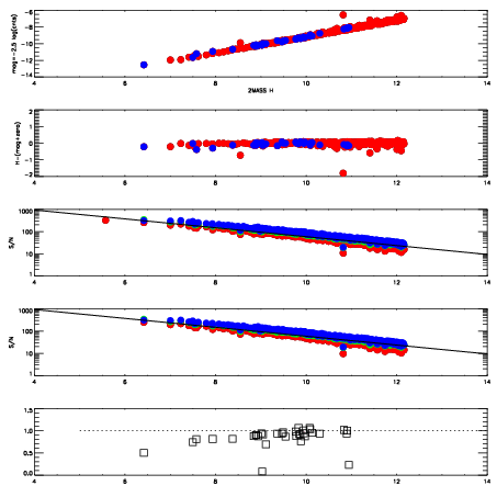
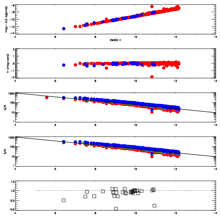
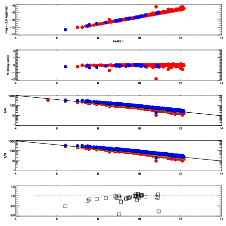
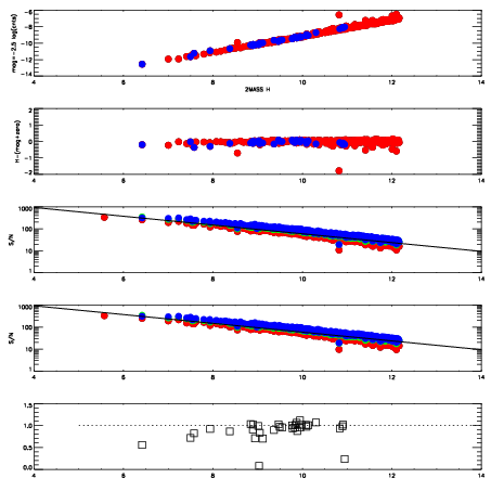
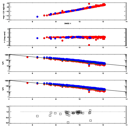
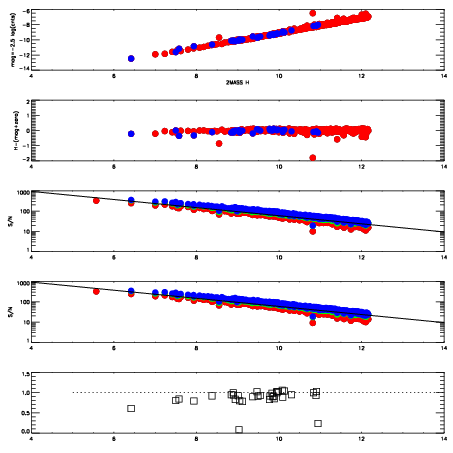
| Frame | Nreads | Zeropoints | Mag plots
| Spatial mag deviation
| Spatial sky 16325A emission deviations (filled: sky, open: star)
| Spatial sky continuum emission
| Spatial sky telluric CO2 absorption deviations (filled: H < 10)
|
| 10230095
| 47
| | Red | Green | Blue
| | z | | 19.16
| | znorm | | 14.98
| | sky | 14.9 | 14.3 | 14.0
| | S/N | 16.6 | 26.6 | 28.0
| | S/N(c) | 14.8 | 25.1 | 26.8
| | SN(E/C) | 0.95
|
|
|
|
|
|
|
| 10230096
| 47
| | Red | Green | Blue
| | z | | 19.15
| | znorm | | 14.97
| | sky | 14.5 | 14.4 | 14.3
| | S/N | 16.3 | 26.1 | 28.3
| | S/N(c) | 14.6 | 24.8 | 26.5
| | SN(E/C) | 0.92
|
|
|
|
|
|
|
| 10230097
| 47
| | Red | Green | Blue
| | z | | 19.18
| | znorm | | 15.00
| | sky | 14.5 | 14.5 | 14.4
| | S/N | 16.7 | 26.8 | 28.6
| | S/N(c) | 15.0 | 25.3 | 27.2
| | SN(E/C) | 0.93
|
|
|
|
|
|
|
| 10230098
| 47
| | Red | Green | Blue
| | z | | 19.17
| | znorm | | 14.99
| | sky | 14.7 | 14.6 | 14.3
| | S/N | 16.3 | 27.0 | 28.3
| | S/N(c) | 14.7 | 25.3 | 27.2
| | SN(E/C) | 0.94
|
|
|
|
|
|
|
| 10230099
| 47
| | Red | Green | Blue
| | z | | 19.16
| | znorm | | 14.98
| | sky | 15.0 | 14.5 | 14.4
| | S/N | 16.6 | 26.5 | 28.3
| | S/N(c) | 14.7 | 25.1 | 27.0
| | SN(E/C) | 0.91
|
|
|
|
|
|
|
| 10230100
| 47
| | Red | Green | Blue
| | z | | 19.18
| | znorm | | 15.00
| | sky | 14.7 | 14.5 | 14.3
| | S/N | 16.6 | 27.2 | 28.4
| | S/N(c) | 14.8 | 25.4 | 27.6
| | SN(E/C) | 0.93
|
|
|
|
|
|
|
| 10230101
| 47
| | Red | Green | Blue
| | z | | 19.14
| | znorm | | 14.96
| | sky | 14.5 | 14.5 | 14.3
| | S/N | 16.3 | 26.4 | 27.8
| | S/N(c) | 14.2 | 24.7 | 26.8
| | SN(E/C) | 0.91
|
|
|
|
|
|
|
| 10230102
| 47
| | Red | Green | Blue
| | z | | 19.15
| | znorm | | 14.97
| | sky | 14.9 | 14.6 | 14.3
| | S/N | 16.4 | 26.9 | 28.1
| | S/N(c) | 14.8 | 25.0 | 27.1
| | SN(E/C) | 0.92
|
|
|
|
|
|
|
| 10230103
| 47
| | Red | Green | Blue
| | z | | 19.11
| | znorm | | 14.93
| | sky | 14.5 | 14.6 | 14.4
| | S/N | 15.9 | 26.1 | 27.4
| | S/N(c) | 14.3 | 24.3 | 26.2
| | SN(E/C) | 0.92
|
|
|
|
|
|
|
| 10230104
| 47
| | Red | Green | Blue
| | z | | 19.13
| | znorm | | 14.95
| | sky | 14.5 | 14.5 | 14.5
| | S/N | 16.3 | 26.4 | 27.9
| | S/N(c) | 14.5 | 24.6 | 26.4
| | SN(E/C) | 0.95
|
|
|
|
|
|
|