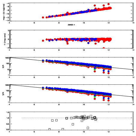
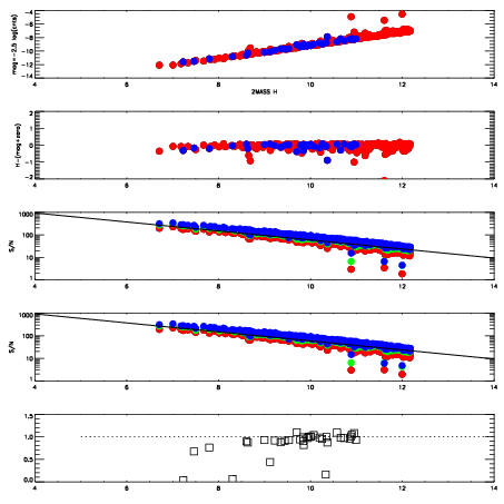
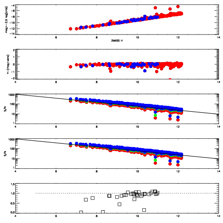
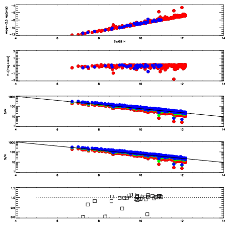
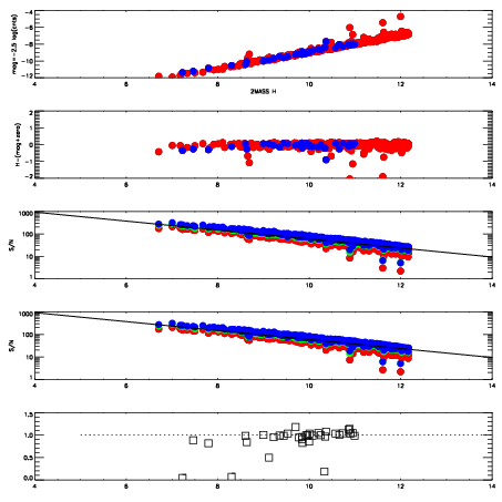
| Frame | Nreads | Zeropoints | Mag plots
| Spatial mag deviation
| Spatial sky 16325A emission deviations (filled: sky, open: star)
| Spatial sky continuum emission
| Spatial sky telluric CO2 absorption deviations (filled: H < 10)
|
| 9040044
| 47
| | Red | Green | Blue
| | z | | 18.93
| | znorm | | 14.75
| | sky | 14.4 | 14.2 | 14.2
| | S/N | 14.0 | 21.8 | 25.1
| | S/N(c) | 12.2 | 20.6 | 23.3
| | SN(E/C) | 1.01
|
|
|
|
|
|
|
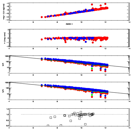
| 9040045
| 47
| | Red | Green | Blue
| | z | | 19.06
| | znorm | | 14.88
| | sky | 14.3 | 14.1 | 14.4
| | S/N | 15.2 | 23.1 | 27.4
| | S/N(c) | 13.4 | 21.8 | 25.5
| | SN(E/C) | 0.92
|
|
|
|
|
|
|
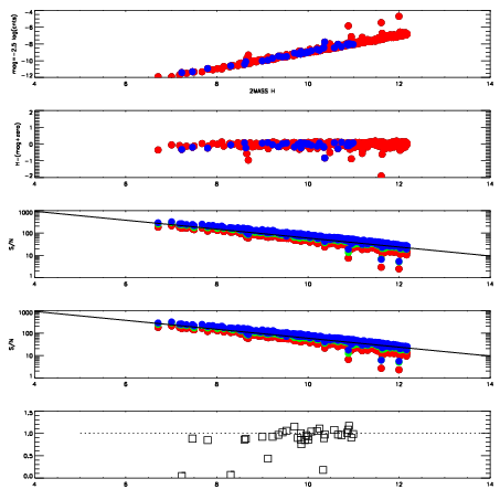
| 9040046
| 47
| | Red | Green | Blue
| | z | | 19.13
| | znorm | | 14.95
| | sky | 14.1 | 14.2 | 14.4
| | S/N | 15.6 | 24.3 | 28.4
| | S/N(c) | 13.9 | 23.0 | 26.8
| | SN(E/C) | 0.96
|
|
|
|
|
|
|
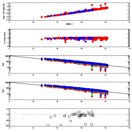
| 9040047
| 47
| | Red | Green | Blue
| | z | | 19.14
| | znorm | | 14.96
| | sky | 14.2 | 14.2 | 14.4
| | S/N | 15.7 | 24.7 | 28.5
| | S/N(c) | 13.9 | 23.0 | 26.7
| | SN(E/C) | 0.94
|
|
|
|
|
|
|
| 9040048
| 47
| | Red | Green | Blue
| | z | | 19.13
| | znorm | | 14.95
| | sky | 14.3 | 14.3 | 14.4
| | S/N | 15.5 | 24.5 | 28.2
| | S/N(c) | 13.8 | 22.9 | 26.4
| | SN(E/C) | 0.94
|
|
|
|
|
|
|
| 9040049
| 47
| | Red | Green | Blue
| | z | | 19.04
| | znorm | | 14.86
| | sky | 14.2 | 14.3 | 14.4
| | S/N | 14.2 | 23.3 | 26.6
| | S/N(c) | 12.7 | 21.9 | 25.0
| | SN(E/C) | 1.00
|
|
|
|
|
|
|
| 9040050
| 47
| | Red | Green | Blue
| | z | | 18.96
| | znorm | | 14.78
| | sky | 14.3 | 14.3 | 14.4
| | S/N | 13.7 | 22.6 | 25.4
| | S/N(c) | 12.6 | 21.0 | 23.6
| | SN(E/C) | 0.93
|
|
|
|
|
|
|
| 9040051
| 47
| | Red | Green | Blue
| | z | | 18.96
| | znorm | | 14.78
| | sky | 14.4 | 14.3 | 14.4
| | S/N | 13.8 | 22.3 | 25.3
| | S/N(c) | 12.7 | 20.8 | 24.3
| | SN(E/C) | 0.98
|
|
|
|
|
|
|