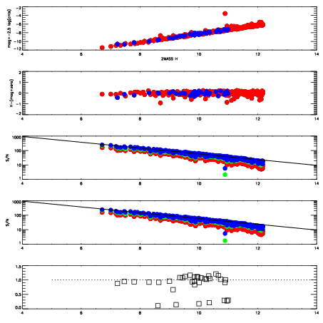
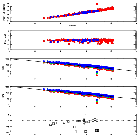
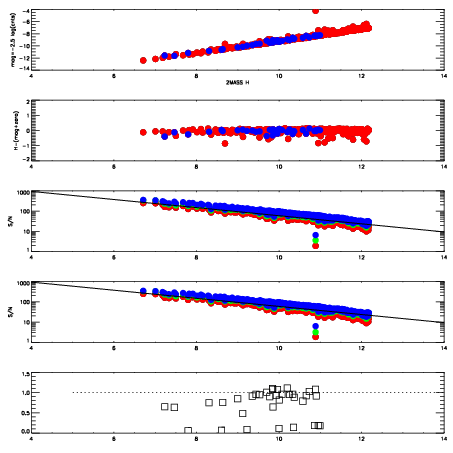
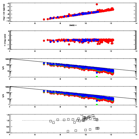
| Frame | Nreads | Zeropoints | Mag plots
| Spatial mag deviation
| Spatial sky 16325A emission deviations (filled: sky, open: star)
| Spatial sky continuum emission
| Spatial sky telluric CO2 absorption deviations (filled: H < 10)
|
| 10000010
| 47
| | Red | Green | Blue
| | z | | 19.16
| | znorm | | 14.98
| | sky | 13.7 | 13.6 | 13.4
| | S/N | 15.2 | 24.6 | 26.2
| | S/N(c) | 13.6 | 23.2 | 25.0
| | SN(E/C) | 0.90
|
|
|
|
|
|
|
| 10000011
| 47
| | Red | Green | Blue
| | z | | 19.19
| | znorm | | 15.01
| | sky | 14.4 | 14.2 | 14.2
| | S/N | 15.9 | 25.2 | 27.8
| | S/N(c) | 13.9 | 23.8 | 26.5
| | SN(E/C) | 0.91
|
|
|
|
|
|
|
| 10000012
| 47
| | Red | Green | Blue
| | z | | 19.20
| | znorm | | 15.02
| | sky | 14.2 | 14.3 | 14.4
| | S/N | 15.8 | 25.4 | 27.9
| | S/N(c) | 13.9 | 23.5 | 26.5
| | SN(E/C) | 0.89
|
|
|
|
|
|
|
| 10000013
| 47
| | Red | Green | Blue
| | z | | 18.98
| | znorm | | 14.80
| | sky | 14.5 | 14.4 | 14.5
| | S/N | 14.2 | 22.2 | 25.1
| | S/N(c) | 12.3 | 20.4 | 24.0
| | SN(E/C) | 0.94
|
|
|
|
|
|
|
| 10000014
| 47
| | Red | Green | Blue
| | z | | 17.72
| | znorm | | 13.54
| | sky | 14.5 | 14.5 | 14.8
| | S/N | 5.4 | 10.6 | 11.4
| | S/N(c) | 4.6 | 9.4 | 10.1
| | SN(E/C) | 1.07
|
|
|
|
|
|
|
| 10000015
| 47
| | Red | Green | Blue
| | z | | 18.25
| | znorm | | 14.07
| | sky | 14.5 | 14.6 | 14.8
| | S/N | 8.5 | 15.5 | 16.5
| | S/N(c) | 7.4 | 14.1 | 15.1
| | SN(E/C) | 0.95
|
|
|
|
|
|
|
| 10000016
| 47
| | Red | Green | Blue
| | z | | 19.21
| | znorm | | 15.03
| | sky | 14.6 | 14.4 | 14.4
| | S/N | 16.5 | 26.2 | 28.7
| | S/N(c) | 14.7 | 24.5 | 27.3
| | SN(E/C) | 0.88
|
|
|
|
|
|
|
| 10000017
| 47
| | Red | Green | Blue
| | z | | 19.25
| | znorm | | 15.07
| | sky | 14.3 | 14.4 | 14.5
| | S/N | 17.0 | 26.4 | 29.4
| | S/N(c) | 15.3 | 24.8 | 27.8
| | SN(E/C) | 0.86
|
|
|
|
|
|
|