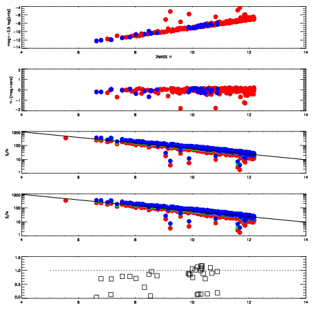
Frame | Nreads | Zeropoints | Mag plots
| Spatial mag deviation
| Spatial sky 16325A emission deviations (filled: sky, open: star)
| Spatial sky continuum emission
| Spatial sky telluric CO2 absorption deviations (filled: H < 10)
|
10430011
| 47
| | Red | Green | Blue
| z | | 19.05
| znorm | | 14.87
| sky | 14.4 | 14.2 | 13.9
| S/N | 15.2 | 24.6 | 24.8
| S/N(c) | 13.5 | 21.7 | 23.4
| SN(E/C) | 0.87
|
|
|
|
|
|
|
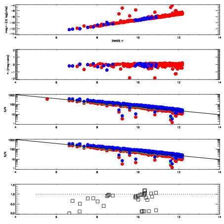
10430012
| 47
| | Red | Green | Blue
| z | | 19.05
| znorm | | 14.87
| sky | 14.5 | 14.3 | 14.2
| S/N | 15.4 | 24.8 | 25.7
| S/N(c) | 13.4 | 22.0 | 24.2
| SN(E/C) | 0.80
|
|
|
|
|
|
|
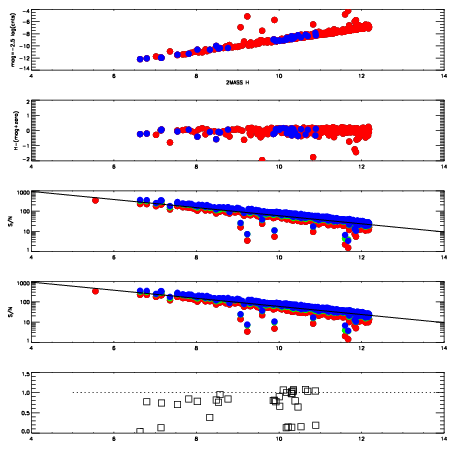
10430013
| 47
| | Red | Green | Blue
| z | | 18.97
| znorm | | 14.79
| sky | 14.5 | 14.4 | 14.3
| S/N | 14.3 | 23.7 | 24.6
| S/N(c) | 12.5 | 21.0 | 23.5
| SN(E/C) | 0.86
|
|
|
|
|
|
|
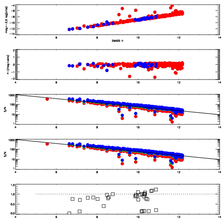
10430014
| 47
| | Red | Green | Blue
| z | | 19.05
| znorm | | 14.87
| sky | 14.5 | 14.4 | 14.3
| S/N | 14.9 | 24.7 | 25.8
| S/N(c) | 13.1 | 21.8 | 24.6
| SN(E/C) | 0.84
|
|
|
|
|
|
|
10430015
| 47
| | Red | Green | Blue
| z | | 19.11
| znorm | | 14.93
| sky | 14.7 | 14.4 | 14.4
| S/N | 15.9 | 25.2 | 26.8
| S/N(c) | 14.1 | 22.7 | 25.3
| SN(E/C) | 0.84
|
|
|
|
|
|
|
10430016
| 47
| | Red | Green | Blue
| z | | 19.10
| znorm | | 14.92
| sky | 14.6 | 14.4 | 14.4
| S/N | 16.0 | 25.5 | 27.1
| S/N(c) | 14.1 | 22.7 | 25.7
| SN(E/C) | 0.84
|
|
|
|
|
|
|
10430017
| 47
| | Red | Green | Blue
| z | | 19.04
| znorm | | 14.86
| sky | 14.5 | 14.5 | 14.5
| S/N | 15.3 | 24.3 | 25.9
| S/N(c) | 13.5 | 21.8 | 24.6
| SN(E/C) | 0.82
|
|
|
|
|
|
|
10430018
| 47
| | Red | Green | Blue
| z | | 19.03
| znorm | | 14.85
| sky | 14.6 | 14.5 | 14.5
| S/N | 15.3 | 24.0 | 25.8
| S/N(c) | 13.2 | 21.9 | 24.5
| SN(E/C) | 0.85
|
|
|
|
|
|
|