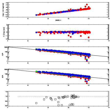
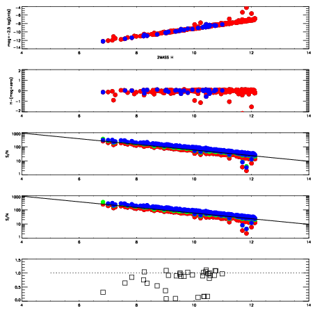
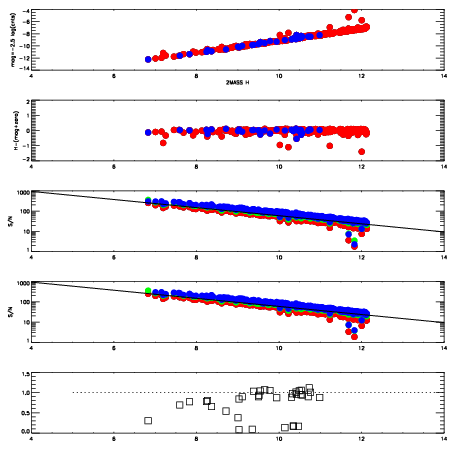
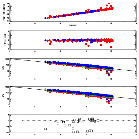
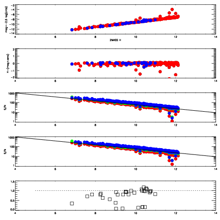
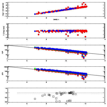
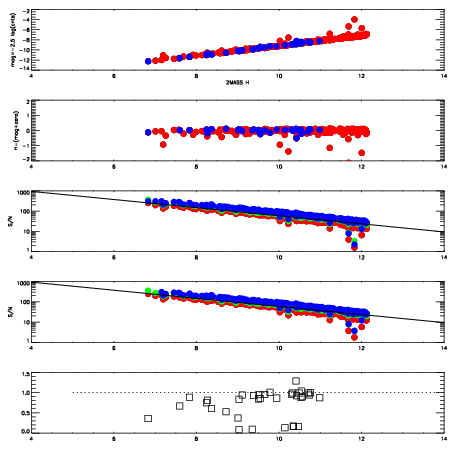
| Frame | Nreads | Zeropoints | Mag plots
| Spatial mag deviation
| Spatial sky 16325A emission deviations (filled: sky, open: star)
| Spatial sky continuum emission
| Spatial sky telluric CO2 absorption deviations (filled: H < 10)
|
| 10430033
| 47
| | Red | Green | Blue
| | z | | 19.18
| | znorm | | 15.00
| | sky | 14.8 | 14.4 | 14.3
| | S/N | 17.1 | 26.8 | 28.9
| | S/N(c) | 15.4 | 25.3 | 27.9
| | SN(E/C) | 0.88
|
|
|
|
|
|
|
| 10430034
| 47
| | Red | Green | Blue
| | z | | 19.18
| | znorm | | 15.00
| | sky | 14.7 | 14.4 | 14.6
| | S/N | 17.0 | 26.8 | 29.4
| | S/N(c) | 15.3 | 25.5 | 28.2
| | SN(E/C) | 0.87
|
|
|
|
|
|
|
| 10430035
| 47
| | Red | Green | Blue
| | z | | 19.18
| | znorm | | 15.00
| | sky | 14.5 | 14.5 | 14.5
| | S/N | 16.8 | 27.0 | 29.1
| | S/N(c) | 15.3 | 25.5 | 28.0
| | SN(E/C) | 0.87
|
|
|
|
|
|
|
| 10430036
| 47
| | Red | Green | Blue
| | z | | 19.19
| | znorm | | 15.01
| | sky | 14.5 | 14.5 | 14.6
| | S/N | 17.1 | 27.2 | 29.5
| | S/N(c) | 15.5 | 25.8 | 28.2
| | SN(E/C) | 0.91
|
|
|
|
|
|
|
| 10430037
| 47
| | Red | Green | Blue
| | z | | 19.18
| | znorm | | 15.00
| | sky | 14.5 | 14.4 | 14.6
| | S/N | 17.0 | 26.9 | 29.6
| | S/N(c) | 15.5 | 25.5 | 28.1
| | SN(E/C) | 0.90
|
|
|
|
|
|
|
| 10430038
| 47
| | Red | Green | Blue
| | z | | 19.16
| | znorm | | 14.98
| | sky | 14.5 | 14.5 | 14.7
| | S/N | 16.6 | 26.6 | 29.4
| | S/N(c) | 15.2 | 25.1 | 27.8
| | SN(E/C) | 0.85
|
|
|
|
|
|
|
| 10430039
| 47
| | Red | Green | Blue
| | z | | 19.20
| | znorm | | 15.02
| | sky | 14.5 | 14.6 | 14.6
| | S/N | 16.7 | 27.2 | 29.9
| | S/N(c) | 15.4 | 25.6 | 28.3
| | SN(E/C) | 0.86
|
|
|
|
|
|
|
| 10430040
| 47
| | Red | Green | Blue
| | z | | 19.15
| | znorm | | 14.96
| | sky | 14.7 | 14.6 | 14.6
| | S/N | 16.1 | 26.3 | 28.8
| | S/N(c) | 14.8 | 24.9 | 27.4
| | SN(E/C) | 0.94
|
|
|
|
|
|
|