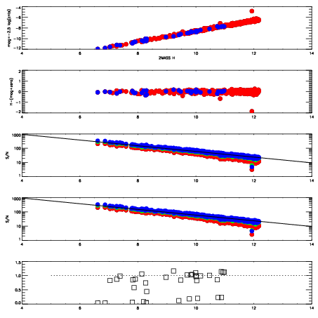
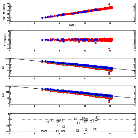
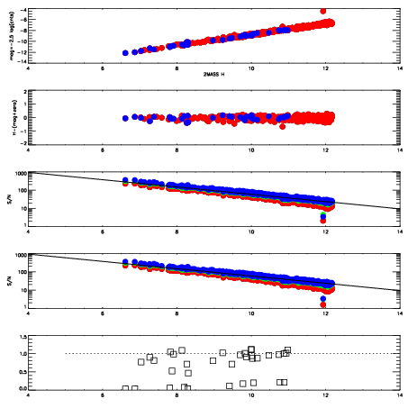
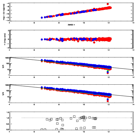
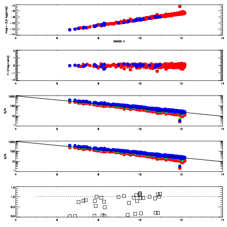
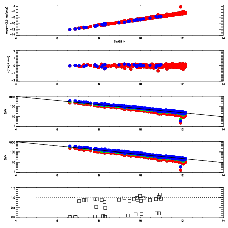
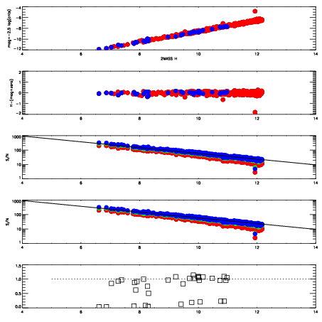
| Frame | Nreads | Zeropoints | Mag plots
| Spatial mag deviation
| Spatial sky 16325A emission deviations (filled: sky, open: star)
| Spatial sky continuum emission
| Spatial sky telluric CO2 absorption deviations (filled: H < 10)
|
| 2810038
| 47
| | Red | Green | Blue
| | z | | 18.81
| | znorm | | 14.63
| | sky | 14.8 | 14.9 | 14.5
| | S/N | 13.2 | 21.9 | 24.2
| | S/N(c) | 11.5 | 20.2 | 22.6
| | SN(E/C) | 0.87
|
|
|
|
|
|
|
| 2810039
| 47
| | Red | Green | Blue
| | z | | 18.58
| | znorm | | 14.40
| | sky | 15.2 | 14.7 | 14.9
| | S/N | 11.4 | 18.5 | 21.5
| | S/N(c) | 9.8 | 17.3 | 20.0
| | SN(E/C) | 0.93
|
|
|
|
|
|
|
| 2810040
| 47
| | Red | Green | Blue
| | z | | 18.62
| | znorm | | 14.44
| | sky | 15.4 | 14.8 | 15.0
| | S/N | 11.8 | 19.0 | 21.6
| | S/N(c) | 10.3 | 17.7 | 20.4
| | SN(E/C) | 0.85
|
|
|
|
|
|
|
| 2810041
| 47
| | Red | Green | Blue
| | z | | 18.80
| | znorm | | 14.62
| | sky | 15.3 | 14.9 | 14.9
| | S/N | 12.8 | 21.0 | 23.2
| | S/N(c) | 11.5 | 19.6 | 22.1
| | SN(E/C) | 0.88
|
|
|
|
|
|
|
| 2810042
| 47
| | Red | Green | Blue
| | z | | 18.73
| | znorm | | 14.55
| | sky | 15.2 | 15.0 | 14.9
| | S/N | 12.1 | 20.4 | 22.5
| | S/N(c) | 10.6 | 18.8 | 21.2
| | SN(E/C) | 0.86
|
|
|
|
|
|
|
| 2810043
| 47
| | Red | Green | Blue
| | z | | 18.63
| | znorm | | 14.45
| | sky | 15.3 | 15.0 | 14.9
| | S/N | 11.6 | 19.1 | 21.0
| | S/N(c) | 10.1 | 18.1 | 20.0
| | SN(E/C) | 0.87
|
|
|
|
|
|
|
| 2810044
| 47
| | Red | Green | Blue
| | z | | 18.74
| | znorm | | 14.56
| | sky | 15.0 | 14.9 | 14.9
| | S/N | 12.1 | 20.4 | 22.0
| | S/N(c) | 10.7 | 19.1 | 21.0
| | SN(E/C) | 0.87
|
|
|
|
|
|
|
| 2810045
| 47
| | Red | Green | Blue
| | z | | 18.86
| | znorm | | 14.68
| | sky | 14.9 | 14.9 | 14.8
| | S/N | 13.1 | 21.5 | 24.0
| | S/N(c) | 11.6 | 20.7 | 22.9
| | SN(E/C) | 0.80
|
|
|
|
|
|
|