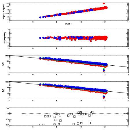
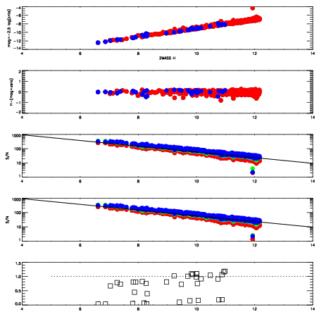
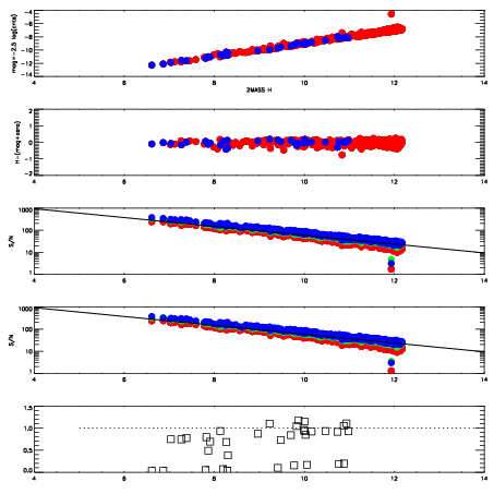
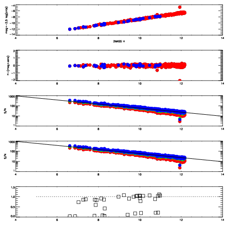
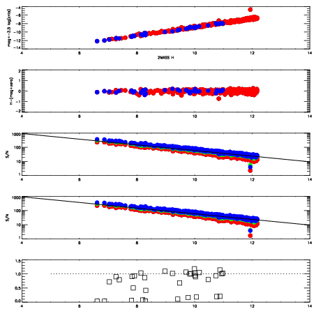
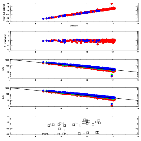
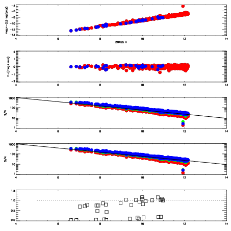
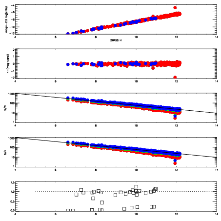
| Frame | Nreads | Zeropoints | Mag plots
| Spatial mag deviation
| Spatial sky 16325A emission deviations (filled: sky, open: star)
| Spatial sky continuum emission
| Spatial sky telluric CO2 absorption deviations (filled: H < 10)
|
| 2820068
| 47
| | Red | Green | Blue
| | z | | 18.61
| | znorm | | 14.43
| | sky | 15.0 | 14.6 | 14.9
| | S/N | 11.5 | 19.1 | 23.2
| | S/N(c) | 9.9 | 16.9 | 22.5
| | SN(E/C) | 0.93
|
|
|
|
|
|
|
| 2820069
| 47
| | Red | Green | Blue
| | z | | 18.73
| | znorm | | 14.55
| | sky | 15.3 | 14.7 | 14.9
| | S/N | 12.7 | 20.1 | 24.1
| | S/N(c) | 11.1 | 18.6 | 23.1
| | SN(E/C) | 0.86
|
|
|
|
|
|
|
| 2820070
| 47
| | Red | Green | Blue
| | z | | 18.87
| | znorm | | 14.69
| | sky | 14.8 | 14.7 | 14.7
| | S/N | 13.4 | 21.5 | 24.9
| | S/N(c) | 11.6 | 20.1 | 23.8
| | SN(E/C) | 0.90
|
|
|
|
|
|
|
| 2820071
| 47
| | Red | Green | Blue
| | z | | 18.99
| | znorm | | 14.81
| | sky | 14.8 | 14.8 | 14.7
| | S/N | 14.4 | 23.0 | 25.6
| | S/N(c) | 12.8 | 21.4 | 24.8
| | SN(E/C) | 0.77
|
|
|
|
|
|
|
| 2820072
| 47
| | Red | Green | Blue
| | z | | 19.03
| | znorm | | 14.85
| | sky | 14.9 | 14.7 | 14.6
| | S/N | 14.6 | 23.4 | 26.2
| | S/N(c) | 13.0 | 22.3 | 25.2
| | SN(E/C) | 0.81
|
|
|
|
|
|
|
| 2820073
| 47
| | Red | Green | Blue
| | z | | 19.01
| | znorm | | 14.83
| | sky | 14.7 | 14.7 | 14.6
| | S/N | 14.6 | 23.2 | 26.1
| | S/N(c) | 12.9 | 22.4 | 24.9
| | SN(E/C) | 0.77
|
|
|
|
|
|
|
| 2820074
| 47
| | Red | Green | Blue
| | z | | 19.00
| | znorm | | 14.82
| | sky | 15.0 | 14.8 | 14.7
| | S/N | 14.2 | 23.2 | 25.7
| | S/N(c) | 12.4 | 22.4 | 24.5
| | SN(E/C) | 0.77
|
|
|
|
|
|
|
| 2820075
| 47
| | Red | Green | Blue
| | z | | 19.05
| | znorm | | 14.87
| | sky | 14.6 | 14.7 | 14.6
| | S/N | 14.5 | 23.6 | 26.1
| | S/N(c) | 12.8 | 22.9 | 24.9
| | SN(E/C) | 0.79
|
|
|
|
|
|
|