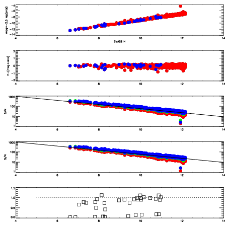
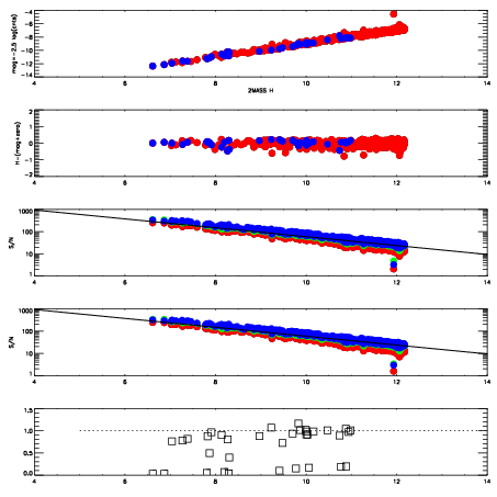
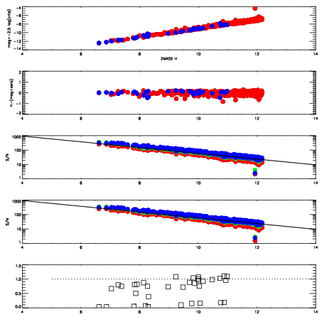
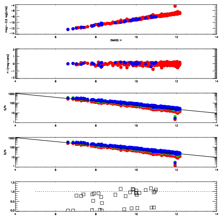
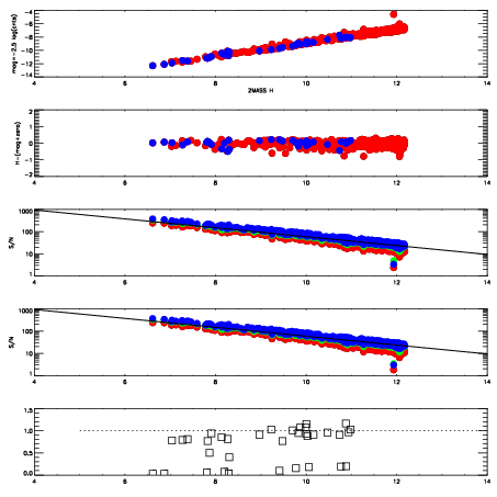
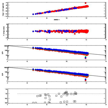
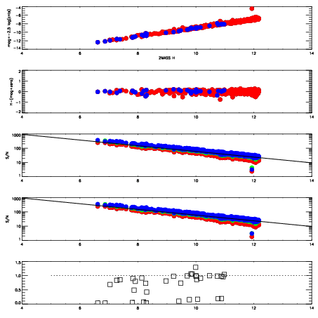
| Frame | Nreads | Zeropoints | Mag plots
| Spatial mag deviation
| Spatial sky 16325A emission deviations (filled: sky, open: star)
| Spatial sky continuum emission
| Spatial sky telluric CO2 absorption deviations (filled: H < 10)
|
| 2830070
| 47
| | Red | Green | Blue
| | z | | 18.96
| | znorm | | 14.78
| | sky | 14.9 | 14.6 | 14.6
| | S/N | 14.3 | 22.5 | 25.2
| | S/N(c) | 12.5 | 21.2 | 24.1
| | SN(E/C) | 0.80
|
|
|
|
|
|
|
| 2830071
| 47
| | Red | Green | Blue
| | z | | 18.90
| | znorm | | 14.72
| | sky | 14.9 | 14.6 | 14.7
| | S/N | 13.5 | 21.8 | 24.2
| | S/N(c) | 11.9 | 20.9 | 23.1
| | SN(E/C) | 0.85
|
|
|
|
|
|
|
| 2830072
| 47
| | Red | Green | Blue
| | z | | 18.97
| | znorm | | 14.79
| | sky | 14.9 | 14.7 | 14.6
| | S/N | 14.0 | 22.7 | 25.0
| | S/N(c) | 12.3 | 21.8 | 24.0
| | SN(E/C) | 0.83
|
|
|
|
|
|
|
| 2830073
| 47
| | Red | Green | Blue
| | z | | 19.00
| | znorm | | 14.82
| | sky | 14.8 | 14.7 | 14.6
| | S/N | 13.9 | 22.8 | 25.3
| | S/N(c) | 12.1 | 21.9 | 24.1
| | SN(E/C) | 0.84
|
|
|
|
|
|
|
| 2830074
| 47
| | Red | Green | Blue
| | z | | 19.03
| | znorm | | 14.85
| | sky | 14.7 | 14.7 | 14.7
| | S/N | 14.0 | 23.2 | 25.4
| | S/N(c) | 12.6 | 22.3 | 24.3
| | SN(E/C) | 0.75
|
|
|
|
|
|
|
| 2830075
| 47
| | Red | Green | Blue
| | z | | 19.03
| | znorm | | 14.85
| | sky | 14.8 | 14.7 | 14.6
| | S/N | 14.3 | 23.3 | 25.6
| | S/N(c) | 12.6 | 22.4 | 24.5
| | SN(E/C) | 0.78
|
|
|
|
|
|
|
| 2830076
| 47
| | Red | Green | Blue
| | z | | 18.96
| | znorm | | 14.78
| | sky | 14.8 | 14.7 | 14.7
| | S/N | 13.4 | 22.5 | 24.2
| | S/N(c) | 11.9 | 21.7 | 23.3
| | SN(E/C) | 0.87
|
|
|
|
|
|
|
| 2830077
| 47
| | Red | Green | Blue
| | z | | 18.89
| | znorm | | 14.71
| | sky | 14.8 | 14.8 | 14.8
| | S/N | 12.7 | 21.9 | 23.3
| | S/N(c) | 11.2 | 20.6 | 22.4
| | SN(E/C) | 0.81
|
|
|
|
|
|
|